Lösa följande ekvation

Jag behöver hjälp med 4 b)
Kommer du vidare?
Använd formeln för sin(2v) och faktorisera VL
Så långt har ja kommit på min egen hand.
Det ser jättebra ut! För vilka värden på v gäller det
a) att sin(v) = 0
b) att cos(v) = -½?
Vet inte
Ja, det är en del av lösningarna. Du kan t ex använda dig av enhetscirkeln för att hitta de andra.
Det finns oändligt många, eftersom sin v har period 2pi, så man kan uttrycka all lösningar som
Lösningsförslag ser ut så här: 
Har du några frågor om lösningsförslaget?
Förra gången jag var inne i tråden kunde jag se lösningsförslaget, men nu har det försvunnit! Underligt.
Är du med på att det finns två olika möjligheter att lösa ekvationen, antingen att sin(v) = 0 eller att cos(v) = -½?
Ekvationen sin(v) = 0 har lösningarna 0o och 180o, och dessutom kan man lägga till hur många hela varv man vill. Detta kan sammanfattas till x = n.180o där n är ett heltal. Man kan lika gärna uttrycka detta i radianer, och då blir det .
Ekvationen cos(v) = -½ har två lösningar (plus perioden), antingen att vinkeln är 120o eller -120o. Även detta kan lika gärna uttryckas i radianer.
Det finns ett antal "snälla" vinklar vars sinus- och cosinusvärden man förväntas känna till exakt. Hyggligt nog finns de med i den formelsamling man får ha med sig på nationella proven.
Menar du bilden i 21:54 har försvunnit?
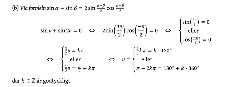
Längst till höger står det v = (stor klammer). På översta raden är det lösningen till ekvationen sin(v) = 0, dels i radianer, dels i grader (k är ett heltal). På nedersta raden är det samma sak med den andra lösningen.
Jag ser inte v=stor klammer vilken rad menar du där?
En annan lösningsförslag:

Förstår du vad är det här?
Marcus N skrev:En annan lösningsförslag:
Det finns ingen bild här
Ser du den bilden nu?
Nu syns bilden. Vilket steg är det du fastnar på?
Jag har aldrigt sett en sådant lösning, kan du förklarar allting stegvis.
Allting är skrivet stegvis. Först skriver man bara av utgångsformeln. I nästa steg använder man formeln som står på första raden på VL. Man ser att VL kan bli lika med 0 i två fall - om sinustermen är 0 eller om cosinustermen är 0. Är du med så långt? Detta är den första raden.
