7
svar
124
visningar
notsogenius behöver inte mer hjälp
Lösa matrisekvation
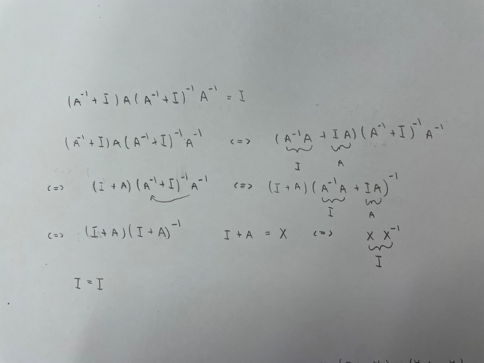
Jag ska visa att
Tänkte utveckla vänsterledet för att få vänsterled lika med I men fastnade i slutet

Ett fel du gör är när du distribuerar inversen över summan.
Ett annat fel är när du gör du följande förenkling:
Är detta korrekt?
Bättre men inte riktigt rätt.
I allmänhet gäller inte att:
Vad som däremot gäller är att:
Kan du se hur du skall utnyttja det?
Menar du såhär?
Jag vet inte var inversen på kom ifrån.
Vidare tror jag att du borde skriva ut ett mellansteg där du bara visar att:
Tack, det var det mellansteget jag hade svårt att skriva ut. Blir det rätt såhär?

Mycket bra!