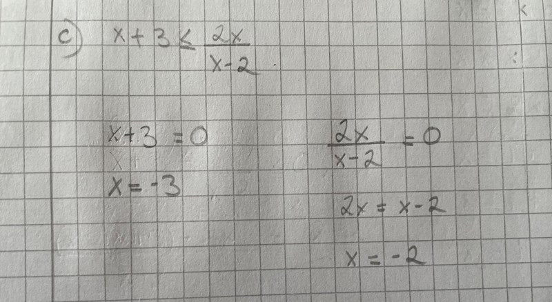
Lösa olikhet algebraiskt
Har jag löst denna uppgiften rätt? I facit står det att det ska vara 2 < x < 3
vad gör jag för fel?


När du multiplicerar med x-2 och behåller olikheten som så har du gjort antagandet att x-2 är positivt (eller 0). Så lösningar som gör x-2 negativt får du förkasta. Sedan får du undersöka det andra fallet, att x-2 är negativt. Du får samma uttryck i vänsterledet, men olikheten är .
Du måste dela upp olikheten i två olika fall. Om det är så att nämnaren x-2 är negativ, så måste man vända på olikhetstecknet (men inte annars).
Smaragdalena skrev:Du måste dela upp olikheten i två olika fall. Om det är så att nämnaren x-2 är negativ, så måste man vända på olikhetstecknet (men inte annars).
Menar du att jag kan lösa dem som två separata olikheter?
Smaragdalena skrev:Ja.
det ser tokigt ut
Förstod du det jag skrev?
Laguna skrev:Förstod du det jag skrev?
att olikheten ändrar tecken när jag multiplicerar upp x-2 men samma måste gälla på x+3?
Det är bara x-2 du multiplicerar med.