lösa olikheten
förstår inte alls hur man ska tänka här, ska lösa följande olikhet
Förstår inte ens vad denna olikhet betyder, får inga bilder i huvudet. vad betyder det när man har olikheter på varje sida? vad säger det om reella linjen?
hur börjar man lösa denna stegvis? finns säkert massa sätt men hur kan man börja tackla denna? jag räknade med två fall:
fall1: och fick x < 1
fall2: och fick -3 < x
så det borde vara intervallet (-3,1)
Men i facit blev det tvärt om mot vad jag fick i mina fall, alltså x > 1 och x < -3.
Hur kan det blir tvärt om?
såg i facit att dom kvadrerar båda led, hade ingen aning om att man kan göra det med absolutbelopp, är det någon räkneregel jag har missat?
tacksam för vägledning
Om så kan du dividera olikheten med det positiva talet utan att olikheten ändras.
Men
där man betecknar . Olikheten som ska lösas är alltså
När du väl bestämt vilka tal som uppfyller denna olikhet kan du finna de motsvarande -värdena.
Albiki skrev:Om så kan du dividera olikheten med det positiva talet utan att olikheten ändras.
Men
där man betecknar . Olikheten som ska lösas är alltså
När du väl bestämt vilka tal som uppfyller denna olikhet kan du finna de motsvarande -värdena.
kan man lösa detta utan att dividera med x? då vi ej vet om det är skilt från noll, finns det någon annan metod då?
Du kan även separat behandla intervallen
x > 3
0 ≤ x ≤ 3
x < 0
Dr. G skrev:Du kan även separat behandla intervallen
x > 3
0 ≤ x ≤ 3
x < 0
förstår ej
|x - 3| < 2|x|
Om t.ex x > 3 (så är även x > 0) och olikheten du ska lösa är
x - 3 < 2x
Du får undersöka om
|x - 3| = x - 3
eller
|x - 3| = 3 - x
på de olika delintervallen (och analogt för |x|).
Dr. G skrev:|x - 3| < 2|x|
Om t.ex x > 3 (så är även x > 0) och olikheten du ska lösa är
x - 3 < 2x
Du får undersöka om
|x - 3| = x - 3
eller
|x - 3| = 3 - x
på de olika delintervallen (och analogt för |x|).
var det inte så jag räknade? jag fick ju mitt svar tvärt om mot det rätta, vad var fel i min uträkning?
Vad menar du med olikheter på båda sidor?
Jag får inga bilder i huvudet heller, men rita upp vänsterledet som en egen funktion, och högerledet som en.
Vad menar du med vad det säger om reella linjen? Jag kan inte svara på den frågan.
Kan x vara lika med noll? Gäller det att är mindre än ? Nej, naturligtvis inte. Därför går det bra att dividera med absolutbeloppet av x så som jag gjort i mitt inlägg.
Om du ritar upp olikheten på tallinjen ser du att den är uppfylld av alla tal som ligger mellan talen minus ett och plus tre. Det gäller alltså att och det återstår att avgöra vad detta säger om talet x.
förstår inte varför min uträkning är fel, ni skriver hur jag ska lösa den istället men hjälper mig inte förstå varför jag gjort fel från början utan det visar bara hur jag löser just det talet, jag kommer inte kunna lösa liknande tal för jag kommer förmodligen först försöka lösa den på egen hand och då vet jag ej om jag löser den fel igen då jag inte vet vad jag gjort fel
Du frågade hur man kan lösa olikheten stegvis. Jag visar dig hur man kan lösa olikheten stegvis.
Du frågar vad olikheten betyder. Jag förklara vad olikheten betyder.
Du frågar vad olikheten ”säger om tallinjen”. Jag visar dig hur tallinjen kommer in i lösningen av olikheten.
Du förstår inte hur man ska tänka för att lösa olikheten. Jag visar dig hur man kan tänka för att lösa olikheten.
Albiki skrev:Du förstår inte hur man ska tänka för att lösa olikheten. Jag visar dig hur man kan tänka för att lösa olikheten.
du verkar svara på det mesta förutom förklara varför min uträkning är fel.
Jag skrev sen att jag inte förstår varför min uträkning var fel,
jag skrev sen att jag behöver förstå vad som är fel med min för att lösa denna plus liknande tal
det har du inte svarat på
Albiki skrev:Du frågar vad olikheten ”säger om tallinjen”. Jag visar dig hur tallinjen kommer in i lösningen av olikheten.
jag skrev att facit hade kvadrerat båda led, inget svar på det heller
Albiki skrev:Du frågar vad olikheten betyder. Jag förklara vad olikheten betyder.
jag skrev om det var någon räkneregel jag missade, inget svar på det heller..
Albiki skrev:Du frågade hur man kan lösa olikheten stegvis. Jag visar dig hur man kan lösa olikheten stegvis.
jag skrev hur mitt svar kunde bli samma siffror fast med omvänt tecken, tvärt om alltså
inget svar på det heller ...
Albiki skrev:(Dubbelpost)
jag är tacksam att du hjälper mig men det betyder inte att jag automatiskt kommer att förstå på ditt första inlägg
I ditt första fall antar du att x-3 är ickenegativt (så att du kan ta bort absolutbeloppstecknen) och att x också är det. Så är fallet när x >= 3. Det borde du skriva dit. Din lösning till x-3 < 2x är dessutom felaktig. Det blir inte x < 1 (hur fick du det?) utan x > -3, vilket tillsammans med x >= 3 (det som vi antog om absolutbeloppen) ger x>= 3.
I det andra fallet antar du att x-3 är ickenegativt och att x är negativt. Det är inte fallet för något x. Eller hur?
Sen fattas det fall. Du får också ta med när x-3 < 0 (så att man negerar vänsterledet när man tar bort beloppstecknen) och då de två fallen för högerledet, såsom du redan har gjort.
Kvaderera kan man göra med bibehållet olikhetstecken (så att det inte vänder på sig och blir >) för att båda sidorna är positiva och kvadreringsfunktionen är växande. Det kan vara ett trick för att få bort absolutbeloppstecknen, och inte behöva fallindela så mycket.
Laguna skrev:I ditt första fall antar du att x-3 är ickenegativt (så att du kan ta bort absolutbeloppstecknen) och att x också är det. Så är fallet när x >= 3. Det borde du skriva dit. Din lösning till x-3 < 2x är dessutom felaktig. Det blir inte x < 1 (hur fick du det?) utan x > -3, vilket tillsammans med x >= 3 (det som vi antog om absolutbeloppen) ger x>= 3.
I det andra fallet antar du att x-3 är ickenegativt och att x är negativt. Det är inte fallet för något x. Eller hur?
Sen fattas det fall. Du får också ta med när x-3 < 0 (så att man negerar vänsterledet när man tar bort beloppstecknen) och då de två fallen för högerledet, såsom du redan har gjort.
okej jag kollade din förklaring och min uträkning lite och försökte räkna om och fick detta:
Skrev upp definitionerna först:
Sen tittade jag på ovan intervall för x i 1) och 2) och tittade hur många fall det kan bli och fick dessa 3:
Fall 1:
I 1) och 2) när xoch x vilket ger:
Fall 2:
I 1) och 2) när vilket ger
Fall 3:
I 1) och 2) när x<3 och vilket ger
Nu har jag åtminstone fått rätt intervall i Fall 2 och Fall 3, testar jag sätta in x i dessa värden stämmer ursprungsolikheten. Däremot har jag intervallet i Fall 1 som går emot Fall 2. hur ska man veta här vilka av dessa tre fall man ska ha med i svaret?
Eller har jag gjort något tokigt fel i denna uträkning också?
Maremare skrev:Fall 1:
I 1) och 2) när xoch x vilket ger:
Fall 2:
I 1) och 2) när vilket ger
Fall 3:
I 1) och 2) när x<3 och vilket ger
Det hjälper rätt mycket att försöka rita upp HL och VL i olikheterna. I det här fallet går det att göra med papper och penna, då det är räta linjer.
Fall 1: du antar x > 3 och kommer fram till att olikheten ger x > -3. Båda villkor är uppfyllda då x > 3.
Fall 2: du antar att x < 0 och kommer fram till att olikheten ger x < -3. Båda villkor är uppfyllda då x < -3.
Fall 3: du antar att 0 < x < 3 och kommer fram till att olikheten ger x > 1. Båda villkor är uppfyllda då 1 < x < 3.
Fall 1 och fall 3 kan slås ihop till x > 1.

|x-3|<2|x|
|x-3|=x-3 om x>3, |x-3|=0 om x=3, |x-3|=3-x om x>3 intressant tal där det växlar: 3
|x|=-x om x<0, |x|=0 om x=0, |x|=x om x>0. Intressant tal där det växlar: 0
Undersök alltså vad som händer i de tre intervallen x<-3, 0>x>3 respektive x>3.
Jag skulle börja med att skriva om |x-3|<2|x| till |x-3|-2|x|<0 och rita upp funktionen f(x)=|x-3|-2|x| för att se var den hamnar under x-axeln.
Dr. G skrev:Maremare skrev:Fall 1:
I 1) och 2) när xoch x vilket ger:
Fall 2:
I 1) och 2) när vilket ger
Fall 3:
I 1) och 2) när x<3 och vilket ger
Det hjälper rätt mycket att försöka rita upp HL och VL i olikheterna. I det här fallet går det att göra med papper och penna, då det är räta linjer.
Fall 1: du antar x > 3 och kommer fram till att olikheten ger x > -3. Båda villkor är uppfyllda då x > 3.
Fall 2: du antar att x < 0 och kommer fram till att olikheten ger x < -3. Båda villkor är uppfyllda då x < -3.
Fall 3: du antar att 0 < x < 3 och kommer fram till att olikheten ger x > 1. Båda villkor är uppfyllda då 1 < x < 3.
Fall 1 och fall 3 kan slås ihop till x > 1.
Okej jag räknade om den och förstår villkoren och att svaren blir det angivna. förstår dock inte det är med ritandet, känner att i dessa fall blir för komplicerat för mig att rita och försöka tolka då jag ändå inte kan det
de i boken löste den genom att kvadrera bägge led och skriva om uttrycket, för min del känns det enklare för denna uppgift men hänger inte med varför tecknet byter håll efter att de lagt över allt i VL, någon som kan förklara det?

Maremare skrev:
de i boken löste den genom att kvadrera bägge led och skriva om uttrycket, för min del känns det enklare för denna uppgift men hänger inte med varför tecknet byter håll efter att de lagt över allt i VL, någon som kan förklara det?
De hade kunnat tägga till: Detta stämmer om och endast om båda parenteserna har samma tecken, d v s om x<-3 eller om x>1. Vilket är precis vad vi har försökt förklara för dig hela tiden i den höär tråden.
Smaragdalena skrev:Maremare skrev:
de i boken löste den genom att kvadrera bägge led och skriva om uttrycket, för min del känns det enklare för denna uppgift men hänger inte med varför tecknet byter håll efter att de lagt över allt i VL, någon som kan förklara det?
De hade kunnat tägga till: Detta stämmer om och endast om båda parenteserna har samma tecken, d v s om x<-3 eller om x>1. Vilket är precis vad vi har försökt förklara för dig hela tiden i den höär tråden.
jaha jag har inte förstått att ni menade att jag skulle kvadrera båda led, men om jag gör det , varför byter olikheten tecken när de lägger över allt till VL (på andra raden), förstår fortfarande inte det
Maremare skrev:
... men hänger inte med varför tecknet byter håll efter att de lagt över allt i VL, någon som kan förklara det?
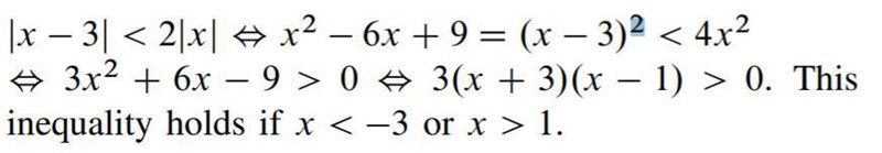
Nej tecknet byter inte håll.
Du har följande olikhet:
Utveckla kvadraten i VL:
Subtrahera från bägge sidor:
Addera till bägge sidor:
Subtrahera 9 från bägge sidor:
Yngve skrev:Maremare skrev:... men hänger inte med varför tecknet byter håll efter att de lagt över allt i VL, någon som kan förklara det?
Nej tecknet byter inte håll.
Du har följande olikhet:
Utveckla kvadraten i VL:
Subtrahera från bägge sidor:
Addera till bägge sidor:
Subtrahera 9 från bägge sidor:
jaha nu är jag med!
kan man alltid bara kvadrera absolutbelopp sådär eller finns det fallgropar man ska tänka på? för i så fall är det väl en enklare variant?
såg att det ska vara om och endast om parenteserna har samma tecken, men hänger inte med vad det innebär, det fanns bara ett tecken väl?
såg att det ska vara om och endast om parenteserna har samma tecken, men hänger inte med vad det innebär, det fanns bara ett tecken väl?
Om man multiplicerar ihop två positiva tal (eller parenteser) blir svaret positivt, d v s > 0.
Om man multiplicerar ihop två negativa tal (eller parenteser) blir svaret positivt, d v s > 0.
Om man multiplicerar ihop ett positivt och ett negativt tal (eller parenteser) blir svaret negativt, d v s < 0.
Detta borde bara vara bekant för dig, åtminstone från Ma1 om inte tidigare.
Maremare skrev:
...
kan man alltid bara kvadrera absolutbelopp sådär eller finns det fallgropar man ska tänka på? för i så fall är det väl en enklare variant?
...
Ja, du kan alltid kvadrera absolutbelopp, men som alltid när man kvadrerar uttryck i ekvationer/olikheter så finns risken att man introducerar falska rötter eftersom informationen om uttryckens tecken i de olika intervallen går förlorad vid kvadreringen.
Ett exempel på det är följande ekvation
Om vi löser ekvationen utan att kvadrera absolutbeloppet så får vi fram en enda lösning, nämligen .
Men om vi istället kvadrerar båda led så får vi ekvationen
Utveckla kvadraterna:
Samla ihop termer på ena sidan likhetstecknet:
Faktorisera vänsterledet:
Nollproduktmetoden ger nu lösningarna och
En av dessa lösningar är en falsk rot.
Yngve skrev:Maremare skrev:...
kan man alltid bara kvadrera absolutbelopp sådär eller finns det fallgropar man ska tänka på? för i så fall är det väl en enklare variant?
...
Ja, du kan alltid kvadrera absolutbelopp, men som alltid när man kvadrerar uttryck i ekvationer/olikheter så finns risken att man introducerar falska rötter eftersom informationen om uttryckens tecken i de olika intervallen går förlorad vid kvadreringen.
Ett exempel på det är följande ekvation
Om vi löser ekvationen utan att kvadrera absolutbeloppet så får vi fram en enda lösning, nämligen .
Men om vi istället kvadrerar båda led så får vi ekvationen
Utveckla kvadraterna:
Samla ihop termer på ena sidan likhetstecknet:
Faktorisera vänsterledet:
Nollproduktmetoden ger nu lösningarna och
En av dessa lösningar är en falsk rot.
okej okej, men när jag försökte lösa fick jag också två rötter men kanske räknade fel då:
bara det att i fall 2 så är den inte med i intervallet
är det det som är skillnaden mellan dessa? att kvadreringen måste man testa rötterna medan första fallet framgår det i intervallet direkt?
Maremare skrev:
... ...
Jag tycker i alla fall att det tydligaste är att rita en bild:
Maremare skrev:Albiki skrev:Om så kan du dividera olikheten med det positiva talet utan att olikheten ändras.
Men
där man betecknar . Olikheten som ska lösas är alltså
När du väl bestämt vilka tal som uppfyller denna olikhet kan du finna de motsvarande -värdena.
kan man lösa detta utan att dividera med x? då vi ej vet om det är skilt från noll, finns det någon annan metod då?
Du kan behandla fallet x = 0 separat. Då får du 3 < 0. Vilket inte uppfyller olikheten.
Smaragdalena skrev:Maremare skrev:... ...
Jag tycker i alla fall att det tydligaste är att rita en bild:
det ser enklare ut men jag förstår inte vad den där bilden säger eller vart jag ser svaret
Maremare skrev:
Dr. G skrev:
Maremare skrev:
Fall 1:
I 1) och 2) när xoch x vilket ger:
Fall 2:
I 1) och 2) när vilket ger
Fall 3:
I 1) och 2) när x<3 och vilket ger
Det hjälper rätt mycket att försöka rita upp HL och VL i olikheterna. I det här fallet går det att göra med papper och penna, då det är räta linjer.
Fall 1: du antar x > 3 och kommer fram till att olikheten ger x > -3. Båda villkor är uppfyllda då x > 3.
Fall 2: du antar att x < 0 och kommer fram till att olikheten ger x < -3. Båda villkor är uppfyllda då x < -3.
Fall 3: du antar att 0 < x < 3 och kommer fram till att olikheten ger x > 1. Båda villkor är uppfyllda då 1 < x < 3.
Fall 1 och fall 3 kan slås ihop till x > 1.

Okej jag räknade om den och förstår villkoren och att svaren blir det angivna. förstår dock inte det är med ritandet, känner att i dessa fall blir för komplicerat för mig att rita och försöka tolka då jag ändå inte kan det
de i boken löste den genom att kvadrera bägge led och skriva om uttrycket, för min del känns det enklare för denna uppgift men hänger inte med varför tecknet byter håll efter att de lagt över allt i VL, någon som kan förklara det?
De har först flyttat allt i VL till HL och sedan flyttat allt till VL samtidigt som de bytt < till >. Helt ok.
a < b ⇔
0 < b - a ⇔
b - a > 0