11 svar
109 visningar
Marcus N behöver inte mer hjälp
Marcus N 1775
Postad: 19 sep 2021 22:10

Lösa olikheten

-(x+2)x-10

Hur lösa man ut x? 

Micimacko 4136
Postad: 19 sep 2021 23:22

Det gör man inte. Ta reda på när täljaren är pos/neg, och samma sak för nämnaren, och sen fundera på när de då blir pos tillsammans.

Marcus N 1775
Postad: 20 sep 2021 13:40

Varför välja vi att ta reda på när täljaren blir pos. eller neg. ?  Kan vi inte göra det för nämnare först? 

-(x+2)=-x-2-x-20  när x2

x-10 när x1Så båda täljaren och nämnare blir positiva tillsammans när 1x2

Yngve 42679
Postad: 20 sep 2021 13:47
Marcus N skrev:

Varför välja vi att ta reda på när täljaren blir pos. eller neg. ?  Kan vi inte göra det för nämnare först? 

Det spelar ingen roll vilken ordning du väljer.

-(x+2)=-x-2-x-20  när x2

Det här stämmer inte. Om du adderar x till båda sidor får du x-2x\leq -2

Marcus N 1775
Postad: 20 sep 2021 15:10
Yngve skrev:
Marcus N skrev:

Varför välja vi att ta reda på när täljaren blir pos. eller neg. ?  Kan vi inte göra det för nämnare först? 

Det spelar ingen roll vilken ordning du väljer.

-(x+2)=-x-2-x-20  när x2

Det här stämmer inte. Om du adderar x till båda sidor får du x-2x\leq -2

Vad menar du att det här stämmer inte? Varför behöver man adderar x till båda sidor? It make no sense!!

Marcus N 1775
Postad: 20 sep 2021 15:11

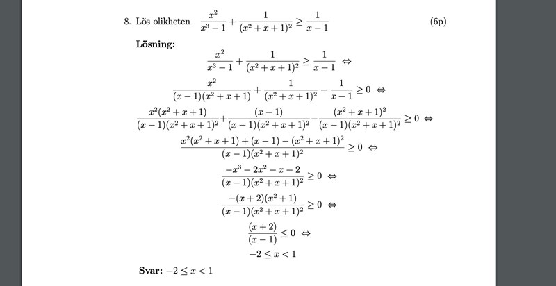
Här är facit: 

Yngve 42679
Postad: 20 sep 2021 15:52
Marcus N skrev:
Vad menar du att det här stämmer inte? Varför behöver man adderar x till båda sidor? It make no sense!!

Jag menar att olikheten -x-20-x-2\geq0 inte säger samma sak som x2x\leq2.

Pröva själv med t.ex. x=0x=0. Då är olikheten x2x\leq2 uppfylld men inte -x-20-x-2\geq0.

Du måste inte addera xx till båda sidor, men det kan vara smart att göra så eftersom det minskar risken för feltänk.

Om du visar i detalj steg för steg hur du löser ut xx ur olikheten -x-20-x-2\geq0 så kan vi hjälpa dig att hitta feltänket.

Marcus N 1775
Postad: 21 sep 2021 12:55

-x-20-x2x2 (byte olikhetens riktningen )

Yngve 42679
Postad: 21 sep 2021 13:09
Marcus N skrev:

-x-20-x2x2 (byte olikhetens riktningen )

Sista steget blir inte rätt.

När du multiplicerar vänstersidan med -1 så måste du även multiplicera högersidan med -1 (och dessutom byta riktning på olikhetstecknet). Annars ändrar du olikhetens betydelse.

Jag rekommenderar att du istället gör på följande sätt:

-x2-x\geq2

Addera x till båda sidor:

02+x0\geq2+x

Subtrahera 2 från båda sidor:

-2x-2\geq x

Denna metod minskar risken för fel avsevärt.

Marcus N 1775
Postad: 21 sep 2021 14:08

-x-20-x*(-1)2*(-1)x-2

Marcus N 1775
Postad: 22 sep 2021 19:22

Har ja förstått rätt? 

Någon?

Yngve 42679
Postad: 22 sep 2021 19:55

Ja nu är det rätt, förutom att du måste byta riktning på olikhetstecknet samtidigt som du multiplicerar ekvationen med -1, dvs redan på rad 2.

Svara
Close