Lösa optimeringsuppgift på funktionsyta
Jag sitter fast med en uppgift. Uppgiften lyder:
Bestäm största och minsta värde av på ytan .
Jag är osäker på hur jag ska gå tillväga för att lösa den här typen av optimeringsproblem. Jag har hört att man kan använda Lagrange-multipel för att hitta extremvärden på en yta, men jag vet inte riktigt hur jag ska tillämpa det här.
Kan någon förklara steg för steg hur man kan lösa denna uppgift?
Tack på förhand!
Ytans ekvation kan du skriva som g(x,y,z) = 2 (eller = 0, smaksak).
I vilka punkter är gradienterna av f(x,y,z) och g(x,y,z) parallella?
Dr. G skrev:Ytans ekvation kan du skriva som g(x,y,z) = 2 (eller = 0, smaksak).
I vilka punkter är gradienterna av f(x,y,z) och g(x,y,z) parallella?
Tack för ditt svar!
Varför behöver man undersöka när gradienterna av och är parallella?
Men här är hur jag tänker:
Först definierar jag ytans ekvation som .
Sedan beräknar jag gradienterna:
För att gradienterna ska vara parallella måste det finnas en konstant så att . Det ger oss systemet:
Har jag förstått det rätt? Hur går jag vidare härifrån?
Hint: Den första ekvationen säger lambda = 1 eller x = 0.
PATENTERAMERA skrev:Hint: Den första ekvationen säger lambda = 1 eller x = 0.
Så om vi tar hänsyn till den första ekvationen , så får vi att eller .
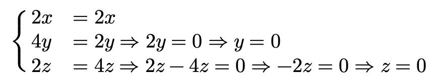
Om , så ger det oss ekvationssystemet:

Vad gör man härifrån?
Jag hade gärna också viljat förstå varför detta steg behövs:
Varför behöver man undersöka nör gradienterna av och är parallella?
För lamda = 1 så får vi att y = z = 0. Värdet på x får vi från villkoret att vi befinner oss på ytan x2 + y2 + 2z2 = 2. Dvs x2 = 2.
Sedan får man behandla fallet x = 0.
Den andra ekvationen ger då att lambda = 2 eller y = 0.
Osv.
Att formulera med gradienter är bara ett alternativt sätt att formulera metoden med Lagrangemultiplikatorer.