4 svar
367 visningar
destiny99 behöver inte mer hjälp
destiny99 11422
Postad: 17 maj 2025 19:59

Lösa partiella differentialekvationer

Hej!

 

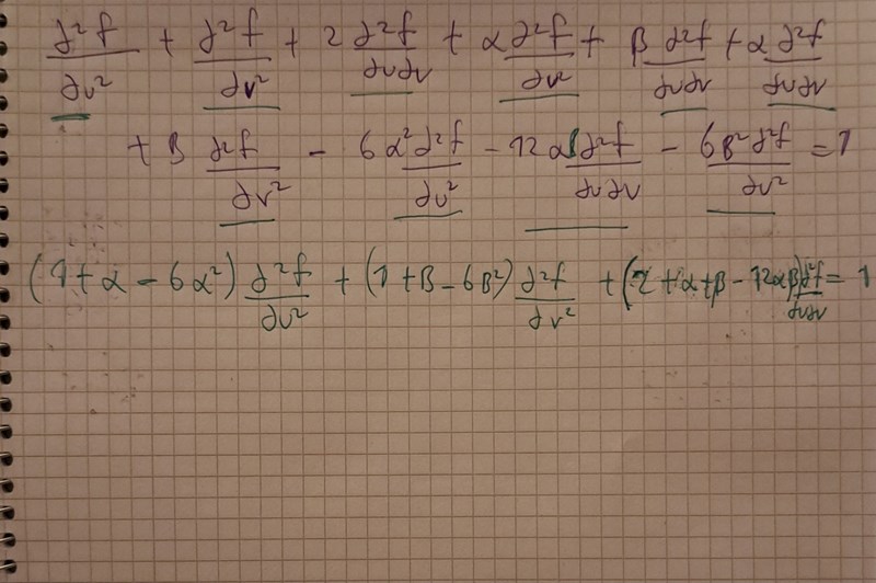
Jag är lite fast på fortsättningen av uppgiften efter insättning av alla partiella derivatorna. Hur går man vidare?

jamolettin 283
Postad: 17 maj 2025 20:57

Det skulle vara trevligt om 

1+a-6a^2  och  1+b-6b^2 skulle bli noll.

Finns det med andra ord två lösningar till ekvationen 1+x-6x^2 = 0.

destiny99 11422
Postad: 17 maj 2025 22:57
jamolettin skrev:

Det skulle vara trevligt om 

1+a-6a^2  och  1+b-6b^2 skulle bli noll.

Finns det med andra ord två lösningar till ekvationen 1+x-6x^2 = 0.

Aa ok. Varför ska dessa termer bli 0?

jamolettin 283
Postad: 17 maj 2025 23:05

Då får du diffekvationen

(2+a+b-12ab)*d^2f/dudv = 1

Den går att lösa. 

Integrera två gånger så är du klar. 

destiny99 11422
Postad: 17 maj 2025 23:06 Redigerad: 17 maj 2025 23:07
jamolettin skrev:

Då får du diffekvationen

(2+a+b-12ab)*d^2f/dudv = 1

Den går att lösa. 

Integrera två gånger så är du klar. 

Jaha ok så man vill ha bara en term att integrera på HL map dv och du . Då förstår jag! Tack för hjälpen. 

Svara
Close