Lösa problem på ett annat sätt
Hej!
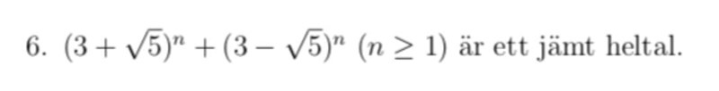
Jag har följande problem att lösa för min seminarium kurs.

Jag tänkte lösa den med binomialsatsen, eftersom jag kommer att utveckla både:
+ , kommer alla tal med som har udda potens att försvinna. Allt resten är dubletter, och jag har bevisat min grej.
Men min lärare sa att jag har inte använt induktionsantagandet och rekommenderade att jag istället utvecklar två liknande följder:
och , plussar dem ihop och göra min bevis med detta.
MEN det skulle jag aldrig har kommit på själv, så det känns inte bra!!!
Om det är någon som verkligen gillar induktion problem och har något idé om att lösa det med en tredje metod, jag vill gärna ha en hint i rätt ritning. Alltså INTE berätta hela lösning 😊
EDIT: hjälp, jag gillar min lärare och det är väldigt viktigt att jag får imponera åtminstone en gång under kursen!
EDIT 2: detta är den korrekta lösning, som jag har inte kommit på. (Jag känner mig rånad av min seger)

Nu har 24 timmar gått, så jag höjer upp in problem.
Det är fortfarande jätteviktigt för mig att försöka övertyga min lärare att jag är inte totalt dum i huvudet ... 😎
Steg 1. Visa att är ett jämnt tal.
Steg 2. Anta att det finns ett positivt heltal (n) sådant att är ett jämnt tal.
Steg 3. Visa att för nästa positiva heltal (n+1) är ett jämnt tal.
Steg 4. Enligt Induktionsaxiomet är ett jämnt tal för alla positiva heltal .
Hej Albiki, och tack för att du tittade på den här gammal tråd, den behövs fortfarande lösas 😊😊!
Hur har du en idé för steg 3, som är inte att introducera en liknande polynom som i detta bevis, eller utan binomial satsen?
Multiplicera dina båda termer med respektive (d v s beräkna uttryckets värde för (n+1)), förenkla och utnyttja att du vet att är ett jämnt tal enligt induktionsantagandet.
(Jag har inte löst uppgiften själv.)
Inför och och notera att och . Skriv sedan
.
Förenkla till
där är ett positivt heltal.
Undersök om är ett jämnt tal.
Stor tack!
Jag ska köra lite till med analys och då testar jag förslagen!!
Albiki skrev:Inför och och notera att och . Skriv sedan
.
Ojdå! Tack! Den såg mycket bra ut!
Och eftersom vi har infört
Allt är jämt!
Min mattelärare kommer att få en chock :D
(jo, vi är tillåtna att få lite hjälp, det är inte fusk)
Kära Smaragdalena, menade du det också?
Eller vilka båda termer menade du?