Lösa sin 15grader
Hej allihopa.
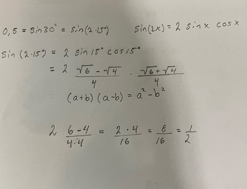
Jag har en fråga gällande en uppgift där man ska använda sig av sambandet 0,5 = sin 30 grader = sin (2*15grader). I facit använder dem sig av trigonometriska ettan. Alltså:
2 sin 15grader cos 15grader =
2 sin 15 grader roten ur 1-sin^2 15grader .
Jag förstår lösningen, det jag inte förstår är varför man inte kan lösa det som jag gjort.

Kan du förklara vad du har gjort?
På sista raden är i alla fall 2(6-4) inte 2*4.
Man märker att jag inte sovit mycket, behöver nog sömn mer än kaffe Zzz. Jag skrev om uppgiften för att ta en bild så man inte såg alla onödiga lösningar jag upprepat.
Jag tänkte att eftersom sin(2x)= sin(2*x) kunde jag använde mig av det för att lösa sin(2*15).
Därefter använde jag mig av ”dubbla vinkeln” för sin —> 2 sinx cosx
vilket blir
2 sin15 cos15
Jag la därefter in värdet för dessa och försökte sedan lösa det därefter. Men jag får ju det till 0.5 vilket är 30grader.
Lägger du in värdet för sin(15) när det är sin(15) det frågas efter från början? Jag förstår inte.
är inte sin(15) i alla fall.
Det är inte första felet idag. Jag har kladdat så mycket att jag ville skriva av det på ett rent papper för att ta en bild som inte blir förvirrande. Det ska givetvis stå en roten ur 2 och inte 4.
Kan du ta en bild på hela uppgiften?
uppgigten är 1325 b)
Jag hade nog aldrig kommit på att lösa uppgiften på det sättet. Jag kanske tolkade uppgiften fel? Eller så är jag för trött Zzz
Det där är facit. Hur lyder uppgiften?

Här är en bild på själva uppgiften
Jag såg inte att du bad om uppgiften förens efter att jag postat bilden på facit. Stänger jag ner sidan försvinner allt jag skrivit och måste då skriva om allt.
Var fick du ifrån?
Sin 15 grader är ( 6√−2√)/4
