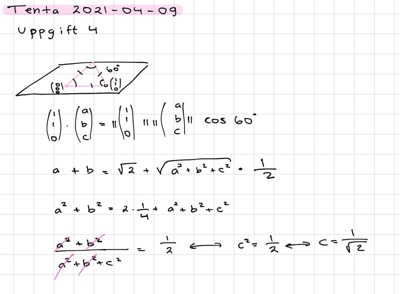
Lösa triangelns tredje hörn, algebra och geometri


Det här blir inte alls bra, och jag förstår inte hur jag ska få ut alla koordinater. För att denna, alltså (0,0,1/√2) blir ju ortogonal emot vektor 1, och då är det ju inte 60 grader emellan dem
(a, b, c) skall ligga i planet, det ger en ekvation
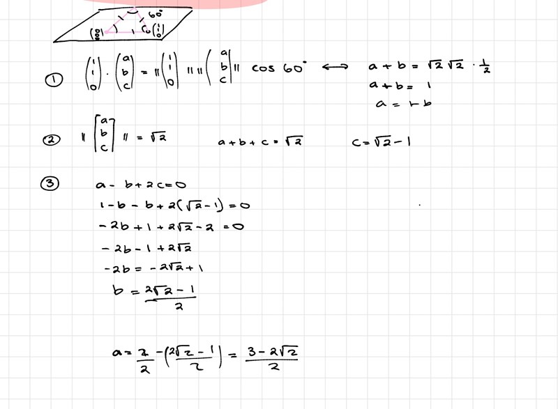
a - b + 2c = 0, eller c = (1/2)(b-a) (1).
Eftersom triangeln är liksidig så gäller det att
||(a, b, c)|| = ||(1, 1, 0)|| = , eller a2+b2+c2 = 2 (2).
Vidare gäller
(1, 1, 0)•(a, b, c) = cos(60˚) = 1, eller a + b = 1 (3).
(1), (2) och (3) ger tre ekvationer för tre obekanta. Lös systemet och välj den lösning som uppfyller att a > 0.
det blir inte samma som i facit med din lösningsmetod, vet du varför?

Oliber skrev:det blir inte samma som i facit med din lösningsmetod, vet du varför?
Vad får du för lösning om du använder dig av PATENTERAMERAs metod?
Jo, man får samma svar som facit med den metoden.

Jag får det inte att funka över huvud taget. Jag förstår inte vad dem gör i facit, vill någon förklara den metoden också?
Ekvationen a + b + c = sqrt(2) är fel.
Du skall använda a2 + b2 + c2 = 2 i stället. Sedan har du också ekvation (1).
