1
svar
116
visningar
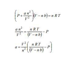
Lösa ut a ur Van der Waals ekvationen för en real gas.
Hallå!
Har denna uppgift som skall lösas, eller ja, den är redan löst, men behöver bara hjälp med att förstå sista steget.

Jag är helt med på noterna fram tills sista steget. Är det så att om man har så kan man bryta ut a och multiplicera med
på båda sidor för att få a ensamt? Vill bara ha lite klarhet i det då det är ett bråk som man multiplicerar bort. Tacksam för svar!
Man mulitplicerar med V² och dividera med n². Du kan antingen slå ihop det med parentesen eller multiplicera med V²/n²