4
svar
172
visningar
Lösa ut denna variabel (Avancerad algrebra)


Man ska lösa ut lilla v (hastighet). Ja det ser simpelt ut men blir fel av någon anledning med alla förenklingar etc.
Visa hur du har börjat. Du har ett uttryck av typ
A = B + C*v
Dr. G skrev :Visa hur du har börjat. Du har ett uttryck av typ
A = B + C*v

Det är rätt, ifall r = r_f.
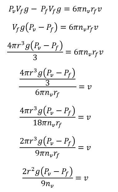
Hej!
Du kan börja med att skriva
Sedan kan du skriva
så att sambandet blir
Error converting from LaTeX to MathML
och om så förkortas detta bort för att ge
och detta resulterar i
.
Albiki