Lösa ut tidsvariabel ur formler, magnettäthet
Hej,
Har gjort en uppgift och kommit fram till ett svar, men hittade en annan lösning som gav ett helt annat svar.
Har en elektron som färdas in i ett magnetfält och däri svänger av medurs och byter riktning. Magnetfältets styrka är 0,003 T, men det är all information man tilldelas.
Så jag gjorde ett försök att försöka lösa ut tiden, t, ur några formler.
Radiens längd i halvcirkeln som bildas:
Hastigheten för elektronen i en cirkel:
Löser ut r ur formeln till
Vilket jag tror gör att man kan sätta
Hoppas ni förstår tankegångarna bakom uträkningarna,
mirou skrev :Hej,
Har gjort en uppgift och kommit fram till ett svar, men hittade en annan lösning som gav ett helt annat svar.
Har en elektron som färdas in i ett magnetfält och däri svänger av medurs och byter riktning. Magnetfältets styrka är 0,003 T, men det är all information man tilldelas.
Så jag gjorde ett försök att försöka lösa ut tiden, t, ur några formler.
Radiens längd i halvcirkeln som bildas:
Hastigheten för elektronen i en cirkel:Löser ut r ur formeln till
Vilket jag tror gör att man kan sätta
Hoppas ni förstår tankegångarna bakom uträkningarna,
Tyvärr...det blev fel
Du jobbar onödigt krångligt med trippla divisions-streck...då blir det lätt fel.
Håll dig till ett divisionsstreck
Tack så mycket. Har nog missförstått det där med dubbla divisioner...
Men du menar att det inte går att lösa ut T på det sättet?
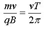
Hmmm... Nu när jag räknar så får jag det snarare till
Utgår från
Förkortar bort v och får
mirou skrev :Tack så mycket. Har nog missförstått det där med dubbla divisioner...
Men du menar att det inte går att lösa ut T på det sättet?
Aha... Du förkortar bort med v först och sen 2pi. Eller hur?
mirou skrev :Aha... Du förkortar bort med v först och sen 2pi. Eller hur?
Precis...som du ser så är arbetssättet ganska enkelt :-)