Löser en klurig integral
Hej! Jag hittade denna på Facebook och har försökt lösa den själv. Skulle vara mycket intressant o se vad för svar ni kommer fram till :) 
Visa ditt försök.
Täljaren är rätt enkel att evaluera eftersom du bara kan integrera termvis.
har svårt att se hur man skulle kunna lösa det med intergral-reglerna i matte 4. Om du inte kan skriva om rot uttrycket till en kvadrat blir det väldigt svårt
Ja, den var inte att leka med. Var det möjligen numerisk integration som efterfrågades?
Som uttrycket är skrivet så är det oklart om nämnaren är en del av integranden. Ska den vara det?
Jag förstår det som att endast täljsren är en integral och då är den relativt enkel.
Den är lösbar, men det är många(!) steg

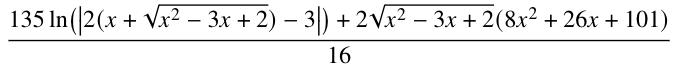
Det här säger Wolfram Alpha:

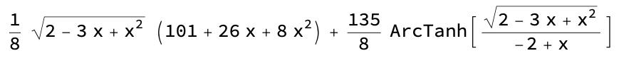
Mathematica ger

(som i stort är samma som W.A.) och Maxima ger ett annat uttryck. Alla likvärdiga.
Jag såg nu att det var för 0 och 1 varför MMA ger

som är cirka -2.98127.