Löser inte bägge uppgifterna idag, löser de senast på tisdag

Päivi skrev :
Hej Päivi.
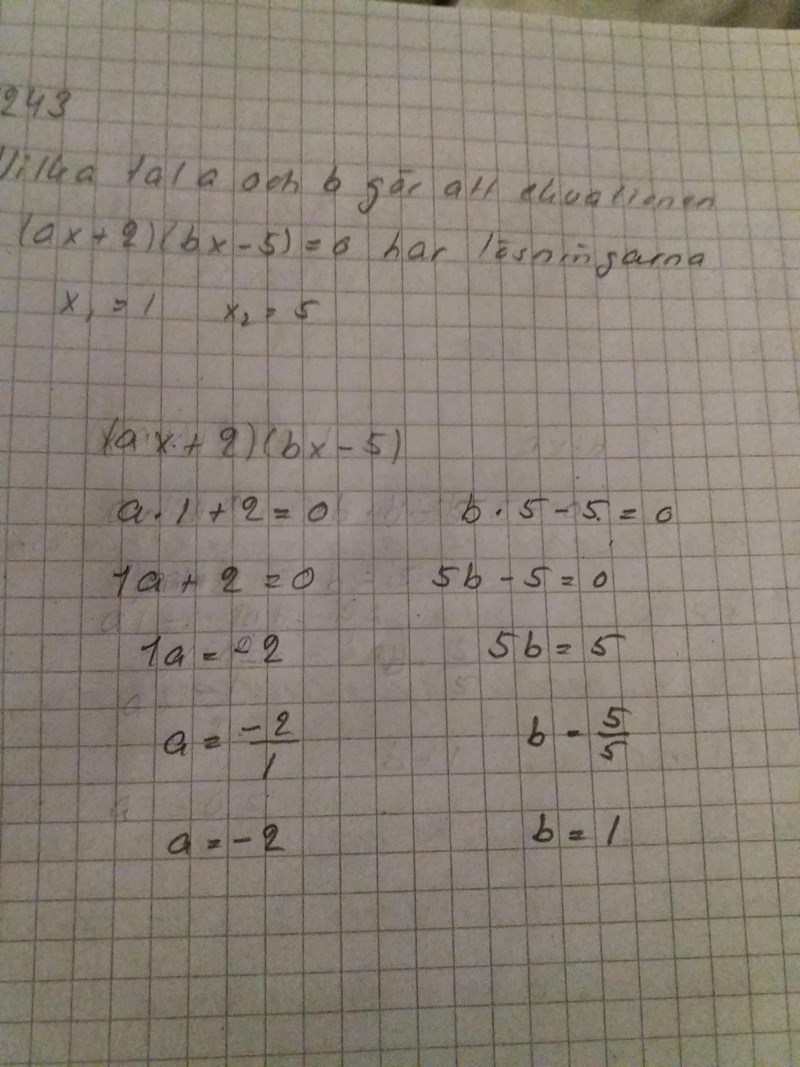
- Använd nollproduktsmetoden på ekvationen (ax+2)(bx-5) = 0. Det ger dig två ekvationer.
- Du vet att x i den ena ekvationen ska vara lika med 1 och att x i den andra ekvationen ska vara lika med 5.
- Sätt in dessa värden i ekvationerna och lös ut a och b.
- Kontrollera ditt svar.
Hur kan man göra det?
Päivi skrev :Hur kan man göra det?
Vilket steg behöver du hjälp med?
X hamnar ju utanför, men hur går de, när är olika bokstäver.
Jag vet inte, hur jag ska göra.
Sätt in x = 1. Någon av faktorerna är 0, eftersom x = 1 är en lösning och HL = 0.
Sätt in x = 5. Någon av faktorerna är 0, eftersom x = 5 är en lösning och HL = 0.
EDIT - för många kockar är inte bra. Fortsätt enligt anvisning från Dr. G.
Du svarade inte på min fråga.
Men strunt i det.
Visa istället hur långt du kommer.
Steg 1, steg 2 ...
Päivi skrev :
Du glömde steg 4, dvs kontrollera ditt svar.
Sätt alltså in dina förslag på a och b i ursprungsekvationen och verifiera att den då får lösningarna och .
Jag förstår inte det här.
Päivi skrev :Jag förstår inte det här.
Har du kontrollerat dina förslag på a och b?
Jag klarar inte av det, Yngve!
Sätt in först x=1 i ekvationen: a*1 + 2 = b*1 -5. Förenkla. Vad får du då?
Päivi skrev :Jag klarar inte av det, Yngve!
Jodå, det gör du visst det.
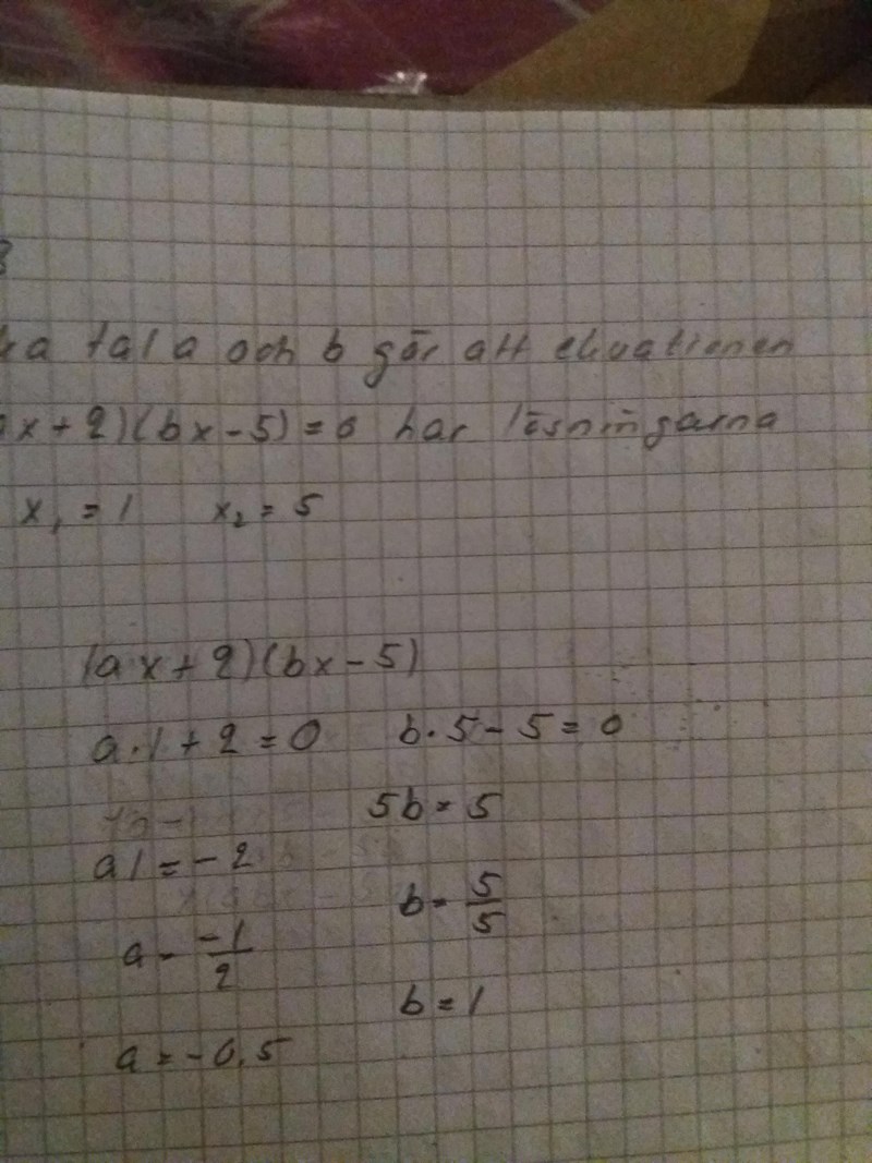
Du har gjort nästan helt rätt, bara ett fånigt litet slarvfel. Du hittar det lättare om du kontrollerar dina förslag på a och b som jag beskrev:
Sätt in -0,5 istället för a i ursprungsekvationen.
Sätt in 1 istället för b i ursprungsekvationen.
Då ser din ekvation ut på följande sätt:
(-0,5*x + 2)(1*x - 5) = 0
(2 - 0,5x)(x - 5) = 0
Använd nu nollproduktsmetoden för att ta reda på vilka lösningar denna ekvation har.
Vilka lösningar får du fram då?
Den ena stämmer inte alls. Jag tyckte att det här verkar ju helt tokigt. 0,5 är fel. Det ska
vara -2
Päivi skrev :Den ena stämmer inte alls. Jag tyckte att det här verkar ju helt tokigt. 0,5 är fel. Det ska
vara -2
Toppen Päivi!
Du hittade ditt eget slarvfel. Jag hoppas att du hittade det efter att ha kontrollerat ditt resultat och sett att a = -0,5 inte stämmer.
