1
svar
167
visningar
Nayazo behöver inte mer hjälp
Löslighet
Hej!
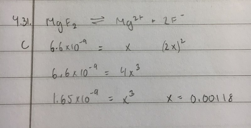
I den här uppgiften (a)
så tänkte jag såhär:

Vilket blev rätt svar men borde man inte plussa in fluoridjonerna också eftersom man ska beräkna lösligheten av magnesiumfluorid och inte endast magnesiumjonerna?
Kom på vad jag gjorde för fel!