12 svar
154 visningar
mhmfysik behöver inte mer hjälp
mhmfysik 57
Postad: 15 aug 2023 10:59

Löslighet - övningtenta

Vismutsulfid (Bi2S3) har en löslighet på 1*10-15M. Räkna ut löslighetsprodukten. 

Jag känner till sambandet med Ks . Men frågan i kurslitteratruren brukar har vara ställd tvärtom. Antar att jag behöver gå ”bakvägen”. Men har ingen aning om hur. Hjälp :(

Teraeagle 20364 – F.d. Moderator
Postad: 15 aug 2023 11:03

Börja med att skriva en reaktionsformel för upplösningen och ställ sedan upp en jämvikstekvation.

mhmfysik 57
Postad: 15 aug 2023 11:09

Ks=[Bi2-3][S3-2] = 1.0 * 10-15 M . Så? Jag har ju inga andra värden. Hur ska jag få fram produkten?

Teraeagle 20364 – F.d. Moderator
Postad: 15 aug 2023 11:11 Redigerad: 15 aug 2023 11:12

Det är inte rätt, du får vismutjoner Bi3+ och sulfidjoner S2- vid upplösningen.

mhmfysik 57
Postad: 15 aug 2023 11:18

Blir det då Ks = [Bi3+]2[S2-]= 1.0 * 10-15. Känner att jag kanske inte förstår hur jag ska tänka för att lösa.

Teraeagle 20364 – F.d. Moderator
Postad: 15 aug 2023 11:27

Ja nu är det rätt, så nästa steg är att ta reda på koncentrationerna vid jämvikt vilket du får utifrån stökiometrin i reaktionsformeln (som du förhoppningsvis har skrivit upp). Hur höga blir halterna av jonerna om man löser upp 10-15 M vismutsulfid?

Teraeagle 20364 – F.d. Moderator
Postad: 15 aug 2023 11:30

En till kommentar: Det är inte Ks som är lika med 10-15 M utan det är koncentrationen av vismutsulfid i lösningen när den är mättad, dvs när det inte går att lösa upp mer och jämvikt inträffar. Löslighetsprodukten Ks är det du ska räkna ut.

mhmfysik 57
Postad: 15 aug 2023 12:16

Ks= [Bi3+][Si2-]3  = (10-15)2  * (10-15)= 10-75 M. Rätt?

mhmfysik 57
Postad: 15 aug 2023 12:20

Eller kanske 1,08 * 10-73?

Teraeagle 20364 – F.d. Moderator
Postad: 15 aug 2023 13:40 Redigerad: 15 aug 2023 13:41

Det är inte rätt. Kolla på det jag skrev i inlägg #6. Innan du börjar beräkna Ks måste du bestämma koncentrationerna av vismut- och sulfidjoner om man löser upp 10-15 M vismutsulfid. Koncentrationerna blir inte 10-15 M som du har räknat med.

mhmfysik 57
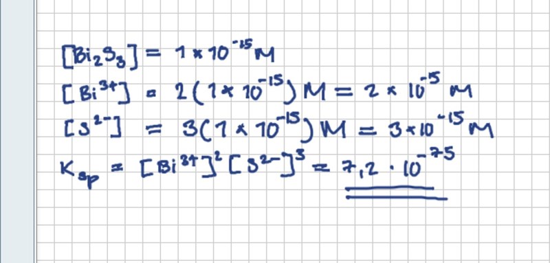
Postad: 15 aug 2023 14:29

Är det så man ska göra, känns som att det stämmer.

Teraeagle 20364 – F.d. Moderator
Postad: 15 aug 2023 14:40

Koncentrationerna är rätt men Ksp är fel. Slog du rätt på miniräknaren?

mhmfysik 57
Postad: 15 aug 2023 14:58

Yes hade skrivit fel. 1,08 * 10^-73 

Svara
Close