5
svar
113
visningar
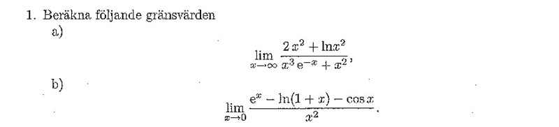
Lösning av ett gränsvärde
Någon som kan förklara hur b) blir 2/3? 
Jag tycker det blir 3/2. Hur gjorde du?
Laguna skrev:Jag tycker det blir 3/2. Hur gjorde du?
Jag fick också . 🤝
Laguna skrev:Jag tycker det blir 3/2. Hur gjorde du?
Ja precis, skrev fel, menade 3/2. Förstår dock inte riktigt hur jag ska tänka.
Använd förslagsvis Maclaurinserier:

tomast80 skrev:Använd förslagsvis Maclaurinserier:
Det hjälpte, tack!