2 svar
111 visningar
Frökenclara behöver inte mer hjälp
Frökenclara 18 – Fd. Medlem
Postad: 13 mar 2023 15:08

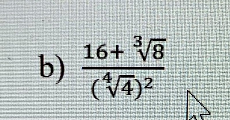
Lösning utan miniräknare

Hejsan! Vet inte hur jag ska lösa detta utan miniräknare, antar att nämnaren blir 2, då fjärde roten ur tas ut av ”upphöjt till två” så att det då blir andra roten ur till 4, alltså 2.

men hur ska jag veta vad tredjeroten ur 8 blir utan miniräknare?

mekatronik 632
Postad: 13 mar 2023 15:27

Ett tips, du kan använda detta trick:

66 = 616

Fortfarande fast?

Frökenclara 18 – Fd. Medlem
Postad: 13 mar 2023 15:32

Ja okej men då hänger jag nog med! Ska testa! Tack så mycket:)

Svara
Close