4
svar
86
visningar
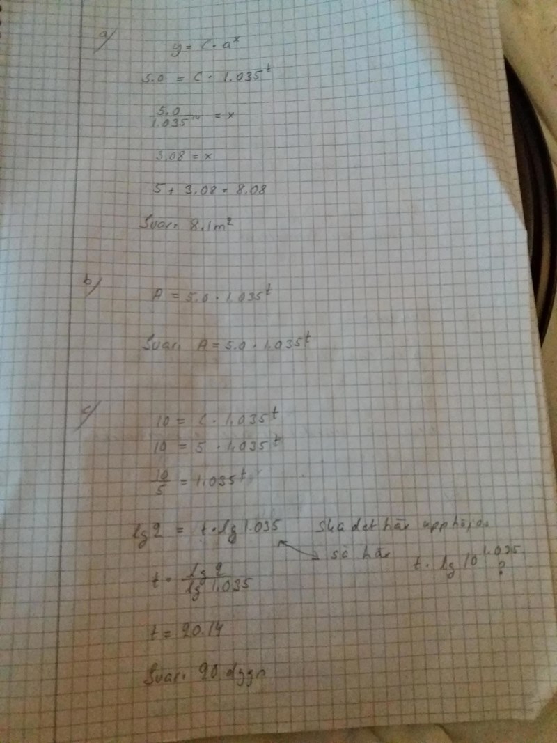
Hur tänker du på a-uppgiften? Vart tog konstanten C vägen? Vad är x egentligen -- det är inte samma sak på andra och tredje raden.
På b-uppgiften tar du fram sambandet du borde ha använt på a-uppgiften.
På c-uppgiften gör du rätt, förutom att du skriver lika med när du borde skriva ungefär lika med, som Yngve ha tjatat om.
Är det bättre nu med a uppgiften?

Jag förstår fortfarande inte hur du tänker på den, så nej. Du vet ju att t = 14, så sätt in det värdet och beräkna A.
Tack Magdalena! Har rättat till!

