LR-krets
Hej! Jag har en fråga kring hur jag ska hitta i formeln . Min tanke var att dra en tangent i t=0 och hitta lutningen, men är det för inexakt? Måste jag hitta ett uttryck för kurvan och sedan derivera den?

Megalomanen skrev:är det för inexakt?
Sådana uppgifter handlar inte om att få exakta värden.
Pieter Kuiper skrev:Megalomanen skrev:är det för inexakt?
Sådana uppgifter handlar inte om att få exakta värden.
finns det ngt bra sätt att hitta ett uttryck för i(t) i denna uppgift? Isf så vet jag inte hur.
Megalomanen skrev:Pieter Kuiper skrev:Sådana uppgifter handlar inte om att få exakta värden.
finns det ngt bra sätt att hitta ett uttryck för i(t) i denna uppgift? Isf så vet jag inte hur.
Uppgiften är att bestämma värden för spolens induktans och resistans. Varför inte bara göra det?
metoden med tangent som du tänkte först fungerar nog tillräckligt bra,
en annan metod är att titta på kretsens tidskonstant och hur den är relaterad till i(t)
Resistansen i spolen räknar du ut med Ohms lag när strömmen satt sig enlig kurvan.
Megalomanen skrev:finns det ngt bra sätt att hitta ett uttryck för i(t) i denna uppgift? Isf så vet jag inte hur.
Använd en enkel potentialvandring, låt spolens resistans vara och .
Med begynnelsevillkoret får vi lösningen
där tidskonstanten
Uppgiften säger inget om en inre resistans hos spänningskällan, kan jag anta att det inte finns någon?
Megalomanen skrev:Uppgiften säger inget om en inre resistans hos spänningskällan, kan jag anta att det inte finns någon?
Ja, det kan du. Du kan anta att den är försumbart liten i jämförelse med 50 Ω.
Igen: varför inte bara göra uppgiften?
För att de som rättar är fantastiskt noggranna och kinkiga. Det letas fel i allt och jag vill va säker på att jag har fattat rätt.
Vilket utmärkt tillfälle att räkna ut svaret på så många olika sätt du kan!
Börja med din egen tanke på lutningen. Derivera och studera derivatan då .
Testa sedan att studera uttrycket vid tiden , dvs , ungefär hur många % av maxvärdet motsvarar det? Vid vilken tidpunkt inträffar det i diagrammet?
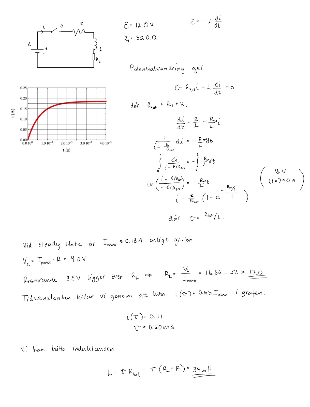
Tidskonstanten är den tid det tar för strömmen att öka till 63,2% av sitt maxvärde. Allt detta kan grafen ge mig och med sambandet kan jag lösa ut L?
Megalomanen skrev:För att de som rättar är fantastiskt noggranna och kinkiga. Det letas fel i allt
Det kan inte vara deras mening att göra studenterna helt handlingsförlamade.
Pieter Kuiper skrev:Megalomanen skrev:För att de som rättar är fantastiskt noggranna och kinkiga. Det letas fel i allt
Det kan inte vara deras mening att göra studenterna helt handlingsförlamade.
Det är det de lever för
Megalomanen skrev:
Tidskonstanten är den tid det tar för strömmen att öka till 63,2% av sitt maxvärde. Allt detta kan grafen ge mig och med sambandet kan jag lösa ut L?
Ja, men tänk på att det R du har där är summan av induktansens resistans och resistansen 50 ohm.
Se också Peters tips i inlägg #6
I ditt första inlägg var du orolig över noggrannheten.
Varför tror du att den här metoden skulle vara bättre för att bestämma induktansen?
Nu tycker jag att du ska testa din ursprungliga plan också. Derivera i(t) och studera derivatan då t→0+.
Vad blir lutningen? Vad är lutningen i grafen?
