Lutande plan, rörelselagar etc.
Hej! Här kommer uppgiften:

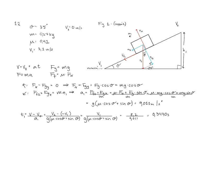
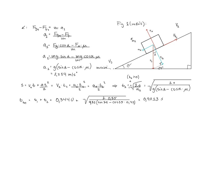
Här är min lösning:



Lärarnas lösning:

Jag förstår deras lösning och att använda en rörelselag för att hitta sträckan är mycket smidigare. Jag vill veta varför mitt sätt med energins bevarande inte fungerar så att jag inte gör om samma i framtiden. Tack!
Energins bevarande fungerar inte om det finns friktion (eller luftmotstånd eller någon annan sorts förluster).
Vi använder den principen hela tiden men friktion inblandat! Så det måste ju vara något annat. Energin i bottenläget måste vara lika den vid toppen, och den vid toppen är lika med lägesenergin, rörelseenergin (som är 0) samt den energin som förlorats vid friktionsarbetet (Wf).
Den mekaniska energin (d v s lägesenergi + rörelseenergi) bevaras endast om det inte finns några förluster. Om du kompenserar för friktion och andra förluster så går det. Jag tittade inte på din lösning, bara på det du skrev innan jag svarade.
Energibetraktelser funkar. Men Ff = mgcos. Du verkar tappa bort friktionstalet någonstans på vägen.
Tack! Surt ...
Vad är surt? Du gjorde ett jättelitet fel men tänkte och gjorde helt korrekt i övrigt. Du borde vara glad.
Vi straffas hårt för det rättningsmässigt. Hade antagligen fått 0p/3p på denna tack vare det. Men håller med dig, för det borde kännas bra.