10
svar
114
visningar
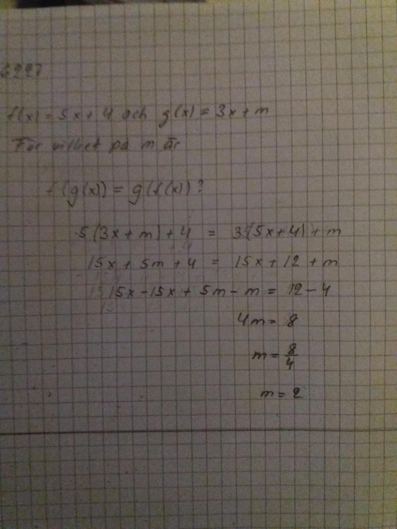
För vilket på m är

g(f(x)) = 3(5x+4) + m.
Vänsterledet är rätt, högerledet är fel.
EDIT: Ajajaj, jag drömde dit en parentes.
Smaragdalena skrev :Vänsterledet är rätt, högerledet är fel.
Nej, vänsterledet är också fel.
5*(3x+m) är inte 15x + m
Hur ska det vara då?
Du har fått HL av HT-Borås och tipset att det fattas en parentes i VL. Kan du få ihop det själv?
Nu gjorde jag rejält fel. Vad håller jag på med.
Aj , det blev dubbelt.
Har ni något att säga om detta nu?
Päivi skrev :
Korrekt, snyggt och tydligt.
Bra Päivi!

