2
svar
80
visningar
Mesopotamia behöver inte mer hjälp
M4) Hur stämmer denna primitiva funktion?
M4) Integraler och Areor
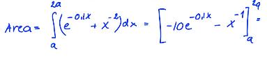
Kan någon vänligen förklara hur man kommer fram till den första termen med hjälp av ekx = ekx/k ?
Jag ser att bilden stämmer men lyckas inte komma fram till den genom "formeln". Använder jag formeln får jag e-0.1x / -0.1 vilket också stämmer om den deriveras?!

Tack på förhand!
Hej.
Om du förlänger 1/0,1 med 10 så ser du att det är lika med 10.
Därför är 1/(-0,1) lika med -10.
Självklart...
Har nog gjort för många uppgifter idag...