MA2c / Bestäm skärningspunkterna mellan parabeln och den räta linjen
Hej.
Skulle vilja ha hjälp med en uppgift ur min bok. Jag kommer fram till ett svar som jag inte riktigt förstår varför.
''Bestäm skärningspunkterna mellan parabeln och den räta linjen ''
Mina steg ser ut som följande:
Nu vill vi bli av med 3an ur x2 värdet. Det gör jag genom att multiplicera alla konstanter med 3.
Resultatet blir:
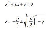
Här använder jag PQ formeln.
Någonstans blir det fel om man ska tolka facit..
Sedan kan jag applicera x-värdena i valfri ekvation för att lösa ut ''y''.
Problemet är att svaret ska bli (-3,3) och (9,27)
Tack på förhand!
du gick från , det ska även vara + 27 och inte -27

Håll koll på minusteckena.
mada59 skrev:du gick från , det ska även vara + 27 och inte -27
Håll koll på minusteckena.
Hej, så om jag tolkar det rätt så borde PQ formeln blivit..
Istället?
Så ifall vi har en ekvation med minus framför våra px/q värden så kan jag alltid utgå ifrån att de byter tecken i PQ formeln?
För att vara säker brukar jag alltid skriva ut alla minustecken:
I behöver du dock inte bry dig om minustecken pga upphöjt i två blir alltid positivt. Så då brukar jag lite slarvigt skriva
mada59 skrev:För att vara säker brukar jag alltid skriva ut alla minustecken:
I behöver du dock inte bry dig om minustecken pga upphöjt i två blir alltid positivt. Så då brukar jag lite slarvigt skriva
Superbra tips, ska börja att skriva ut alla minustecken i framtiden. Din lösning gav rätt svar.
Tusen tack Mada.
God fortsättning.