Maclaurin 1.89


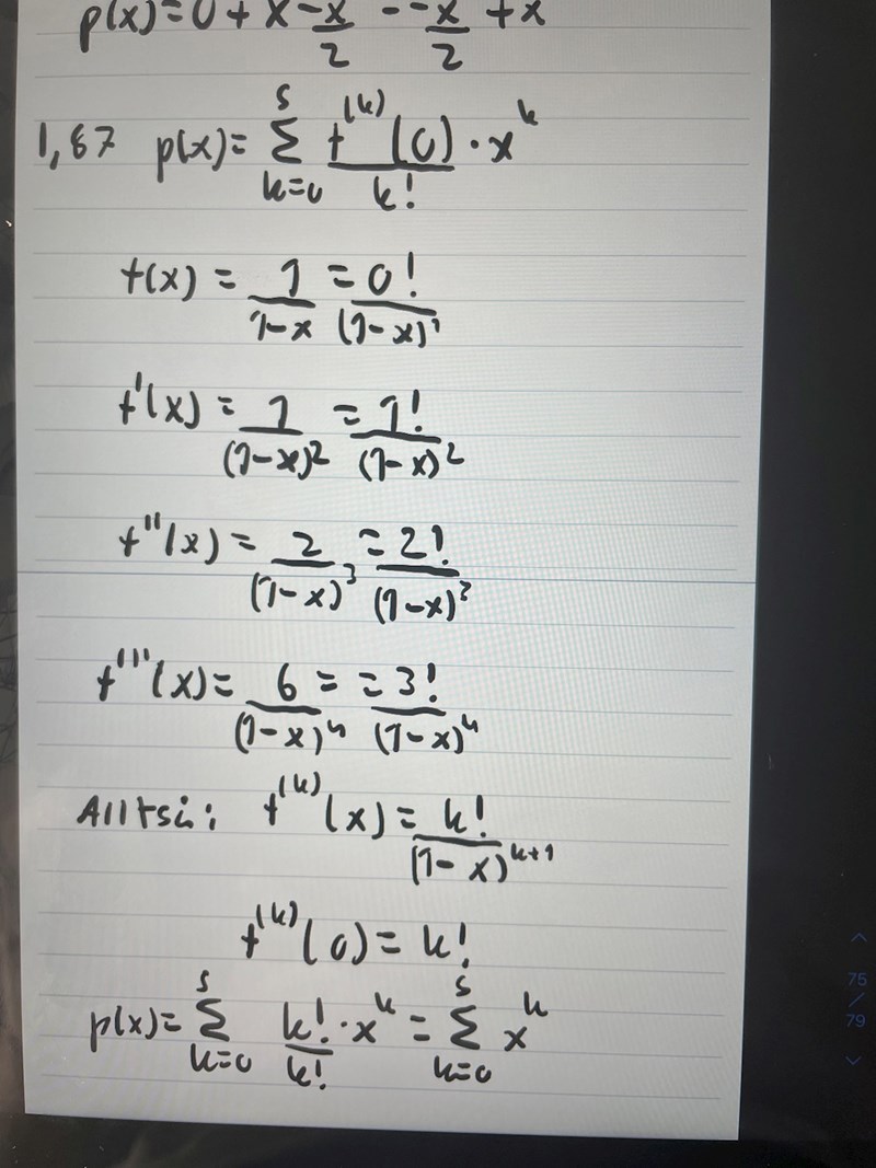
Ovan ser nu uppgiften jag behöver hjälp med, 1.89. Därefter kommer uppgiften 1.87 som min uppgift refererar till, samt min lösning till den. Men hur löser man 1.89? Derivatan blir ju någon slags produktregel?
1 / (1+x3) = 1 / (1–(–x3))
vi vet att summan av en geometrisk serie med
1+k+k2+… = 1/(1–k)
låt nu k = –x3
du får 1 – x3+x6-x9+x12-…
Multiplicera med x2 som står i täljaren
x2–x5+x8–x11+…
Detta är en Maclaurinutv.
Fast det deriveras ju hela tiden. Varför används inte kedje- och produktregeln? Bara för att det gick och skriva så med x behöver det ju inte gå för -x3? Dessutom multipliceras vare term med x2, vilket gör att det blir en produktregel. Du har ju gjort helt rätt, det är inte det jag menar, men varför funkar det. Har det något att göra med att det inte spelar någon roll då derivatan är vid 0 och då kommer alla andra grejer försvinna?
Det var inget nu förstår jag.