0
svar
70
visningar
Philip22 behöver inte mer hjälp
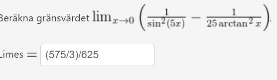
MacLaurin utveckling 1/sin^2(x) - 1/(25arctan^2(x)
Visa spoiler
Skriv ditt dolda innehåll här
Visa spoiler
Skriv ditt dolda innehåll här
Har jag tänkt rätt på denna uppgift? tack!
