2
svar
29
visningar
Maclaurinpolynom för e^x

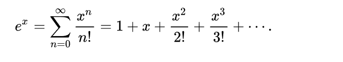
Generellformel:
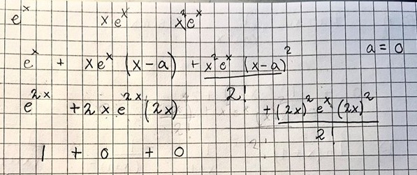
Såhär har jag försökt (första uppgiften):

(sista e^x ska vara e^2x)
Problemet är ju att då f'(a) och f''(a) är samma som f'(0) och f''(0) så försvinner mycket. Det är fel. Det ska inte försvinna. Hur har jag gjort fel? Hur ska man tänka?
Facit:
Visa spoiler

Maclaurinutvecklingen för ex ska nog anses känd i a uppgiften

om du ersätter x med 2x får du de tre första termerna till
1+2x +(2x)2/2 = 1 + 2x+2x2
Ture skrev:Maclaurinutvecklingen för ex ska nog anses känd i a uppgiften
om du ersätter x med 2x får du de tre första termerna till
1+2x +(2x)2/2 = 1 + 2x+2x2
Men om jag vill använda Taylorpolynom för att få maclaurinutvecklingen, borde inte då f'(a)(x-a) bli noll och likaså f''(a)(x-a)^2/2 ?

