Maclaurinpolynom mha standardutvecklingar
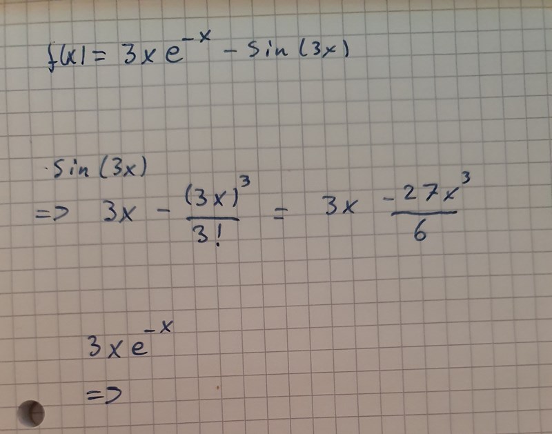
Bestäm fjärde ordningens maclaurinpolynom av
Vill helst använda standardutvecklingen för på något sätt, istället för att derivera 4 gånger, förstår ej riktigt hur dock.
förstår jag hur jag med enkelhet lägger in i standardutvecklingen för och ersätter med .

Utveckla och multiplicera med termvis så är du "hemma".
tomast80 skrev:Utveckla och multiplicera med termvis så är du "hemma".
Ok tack, fick rätt svar.
Funkar detta bara om man har ett förstagradspolynom som faktor eller hade det fungerat om det även stod , vad bör jag vara försiktig med? Finns det några riktlinjer?
Du vill ju ha det som polynom så skulle det vara polynom*(något du utvecklar) spelar det ingen roll eftersom du kan bara multiplicera in polynomet i parantesen. Det är väl mest om du har kvadratrötter av x osv, då kan du ju fundera på att utveckla de också.
Exempelvis