1
svar
97
visningar
Avokado12345 behöver inte mer hjälp
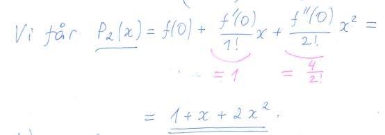
Maclaurinpolynom, Vad blir f(0)?


Jag känner att jag börjat bli smått galen på lösningsförslaget, men jag får x + 2. Jag har deriverat precis som lösningsförslaget så det behöver jag inte hjälp med, men jag förstår inte HUR kan man få f(0) = 1? Det blir väl 0???
Facit har gjort fel, vad jag kan se. är noll, precis som du säger. :)