Maclaurinutveckling

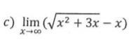
Ska utveckla med hjälp av standardutvecklingen (1+x)^1/2 och substituerar 1/x till t eftersom x går mot oändligheten.
Så det ska bli (1+1/x)^1/2, vet dock inte hur jag bryter så det blir så från bilden? Har hjärnstopp
Standardutvecklingar kan bara användas då själva innehållet i ditt uttryck går mot 0. Här går din rot mot oändligheten, och inget variabelbyte kan ändra på det.
En rot såhär typ skriker rakt ut att man ska förlänga med konjugatet. ;)

Micimacko skrev:Standardutvecklingar kan bara användas då själva innehållet i ditt uttryck går mot 0. Här går din rot mot oändligheten, och inget variabelbyte kan ändra på det.
En rot såhär typ skriker rakt ut att man ska förlänga med konjugatet. ;)
Hade helt glömt bort detta, tackar!
Skulle det inte funka med följande utveckling?