2
svar
110
visningar
Fermatrix behöver inte mer hjälp
maclaurinutveckling
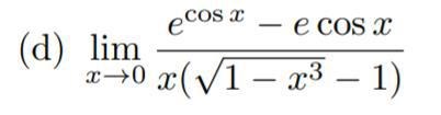
hej, uppgiften lyder 
Jag stöter på ett problem när jag ska utveckla , det fungerar inte att utveckla e och stoppa in utvecklingen av cosx i den. Vad jag förstod så blir det problematiskt eftersom cos(0)=1, alternativet var att då istället skriva det som men det blir ju inte mindre grisig för det. Finns det en genväg?
Hej,
Täljaren handlar om Taylorutveckling av kring
Uteckling av cosx vid 0 upp till ordning 4 ger: , stoppar jag in det i utvecklingen av vid 1 får jag . Var det så jag borde ha resonerat kring eller måste jag nu också utveckla cosx kring 1?
Edit: Det jag skrivit ovan är fel, jag fick till vilket verkar stämma. Tusen tack Albiki!