1
svar
172
visningar
Maclaurinutveckling
Hej,
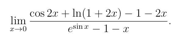
Jag har som uppgift att lösa följande. 
Uppgiften i sin helhet är inga problem. Det som jag har svårt att förstå är hur många gånger täljaren bör deriveras för att korrekt svar. Finns det någon regel som anger det?
Det här har väl ingenting med Maclaurinutveckling att göra?
Visst använder du l'Hôpitals regel? Den kan du ju använda så länge gränsvärdet "blir " så att säga(om du bara stoppar in x=0 alltså). Så till en början gäller ju att både täljaren och nämnaren blir 0 när x=0, så du kan använda l'Hôpital och derivera täljaren och nämnaren. Så länge det fortfarande blir kan du derivera igen, upprepa detta tills täljaren eller nämnaren är skild från 0.