4
svar
151
visningar
Maclaurinutveckling
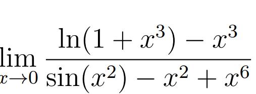
Jag ska beräkna gränsvärdet med maclaurinutveckling:
Jag utvecklar täljaren till .
Och nämnaren:
Och får då kvoten till: . Men det ska bli , varför blir mitt fel?
Jan Ragnar skrev:
Tack!
Jan Ragnar skrev:
Tack!
Du behöver utveckla nämnaren högre. Just nu har du ett x6 som egentligen borde tillhöra ordo, så det finns inget intressant kvar alls.
