0
svar
83
visningar
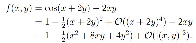
Maclaurinutveckling
Jag ska bestämma om f(x,y) har något extremvärde i origo. Jag gör detta med maclaurinutveckling för att finna den kvadratiska formen. Men jag förstår inte hur de tänker i lösningsförslaget. Hur kan den gå från O((x+2y)^4) till O(|(x,y)|^3)?
