Maclaurinutveckling: hur ska jag tänka?
Hej,
Jag försöker lösa denna uppgift:

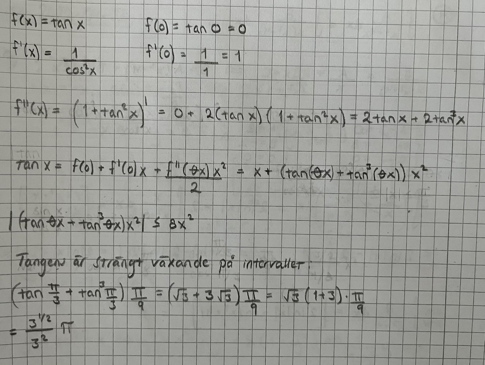
Denna uppgift ska lösas med Maclaurinutveckling, vilket jag gjort ett försök till. Kvar får jag min restterm, som jag på något sätt måste visa alltid kommer vara mindre/lika med 8x^2. Det är där jag fastnar: hur ska jag bevisa det? På något sätt vill jag väl maxa V.L., men hur vet jag när jag maxat det? Jag vet både X och thetas intervall, så jag borde kunna göra det, men jag kommer inte på hur jag ska tänka. Mina uträkningar:
Edit: Längst ner i mina uträkningar testar jag att ge theta och x värden, men kommer ingen vart.

Ser ut som du missade en 2, samt ett minustecken, vid den andra deriveringen.
Detta är ett optimeringsproblem: du ska ta reda på det maximala värdet på uttrycket då theta är i detta intervall.
Själv rekommenderar jag att du skriver om din andraderivata med enbart tangens: då får du typ:
Tangens är strängt växande på denna intervall så det störta värdet antas då
ItzErre skrev:Ser ut som du missade en 2, samt ett minustecken, vid den andra deriveringen.
Detta är ett optimeringsproblem: du ska ta reda på det maximala värdet på uttrycket då theta är i detta intervall.
Själv rekommenderar jag att du skriver om din andraderivata med enbart tangens: då får du typ:
Tangens är strängt växande på denna intervall så det störta värdet antas då
Tack!
Har gjort ett nytt försök med din hjälp, men är inte riktigt i mål. Se du vart det går fel?

Ser bra ut, men du ska inte stoppa in i
Du ska enbart uppskatta delen som har med theta att göra.
Använd sedan att
ItzErre skrev:Ser bra ut, men du ska inte stoppa in i
Du ska enbart uppskatta delen som har med theta att göra.
Använd sedan att
Stort tack!