11 svar
124 visningar
itchy behöver inte mer hjälp
itchy 209 – Fd. Medlem
Postad: 31 maj 2017 19:55 Redigerad: 31 maj 2017 20:37

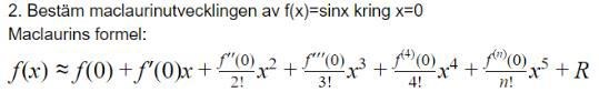
Maclaurinutvecklingar 2

Har lite svårt för det här med maclaurinutvecklingar, uppgift och uträkning står på bilden. Har jag tänkt och räknat rätt?

https://gyazo.com/50717dfcbfbe9699147df237184bfcb6?token=267ef7c6966aa214999031e93aceb768

 

någon som kan?

 

Edit: räknade lite längre så ändrade bilden

Dr. G 9618
Postad: 31 maj 2017 20:39

Det verkar rätt, men ska du inte ha med termer upp till x^5?

itchy 209 – Fd. Medlem
Postad: 31 maj 2017 20:58
Dr. G skrev :

Det verkar rätt, men ska du inte ha med termer upp till x^5?

hur vet man det?

Smaragdalena 78892 – Avstängd
Postad: 31 maj 2017 21:18

Titta på hur man har skrivit f(x), där har man med termer t o m x5 x^5 och därefter en restterm.

itchy 209 – Fd. Medlem
Postad: 31 maj 2017 21:44 Redigerad: 31 maj 2017 21:53
smaragdalena skrev :

Titta på hur man har skrivit f(x), där har man med termer t o m x5 x^5 och därefter en restterm.

så man ska alltid räkna till x^5?

Edit: i formelsamlingen står det till x^3

Dr. G 9618
Postad: 31 maj 2017 21:57
itchy skrev :
smaragdalena skrev :

Titta på hur man har skrivit f(x), där har man med termer t o m x5 x^5 och därefter en restterm.

så man ska alltid räkna till x^5?

Edit: i formelsamlingen står det till x^3

Nej, det finns ingen regel om ur många termer som ska tas med.  Det vanligaste är nog att bara ha med den linjära termen, men man har med så måna termer man tycker är rimligt/nödvändigt (vad det nu innebär) eller om det frågas efter ett specifikt antal.

När fråga är ställd som

så tolkar jag det som att de frågar efter termer upp till x^5.

itchy 209 – Fd. Medlem
Postad: 31 maj 2017 22:07
Dr. G skrev :
itchy skrev :
smaragdalena skrev :

Titta på hur man har skrivit f(x), där har man med termer t o m x5 x^5 och därefter en restterm.

så man ska alltid räkna till x^5?

Edit: i formelsamlingen står det till x^3

Nej, det finns ingen regel om ur många termer som ska tas med.  Det vanligaste är nog att bara ha med den linjära termen, men man har med så måna termer man tycker är rimligt/nödvändigt (vad det nu innebär) eller om det frågas efter ett specifikt antal.

När fråga är ställd som

så tolkar jag det som att de frågar efter termer upp till x^5.

formeln är inte med i frågan, det är bara att jag skrivit ner för jag ska ha redovisning på detta

Dr. G 9618
Postad: 31 maj 2017 22:27

Aha!

I så fall ska du ha med "rubbet", d.v.s en oändlig summa (eller en ändlig summa med restterm).  För sinus är det ju ganska enkelt då saker upprepar sig.

itchy 209 – Fd. Medlem
Postad: 31 maj 2017 22:33
Dr. G skrev :

Aha!

I så fall ska du ha med "rubbet", d.v.s en oändlig summa (eller en ändlig summa med restterm).  För sinus är det ju ganska enkelt då saker upprepar sig.

Rest termen är det sista jag räknade ut va? alltså n=1(-1)n+1x2n-1(2n-1)!

Dr. G 9618
Postad: 31 maj 2017 22:41

Resttermen är den du kallar R.  Den kan uttryckas i derivata av ordning (n+1), se t.ex här.  

Om du dock låter serien innehålla oändligt många termer (som du gör) så tycker jag inte att någon restterm behövs.  Läraren kan vara av annan åsikt.

itchy 209 – Fd. Medlem
Postad: 31 maj 2017 23:10
Dr. G skrev :

Resttermen är den du kallar R.  Den kan uttryckas i derivata av ordning (n+1), se t.ex här.  

Om du dock låter serien innehålla oändligt många termer (som du gör) så tycker jag inte att någon restterm behövs.  Läraren kan vara av annan åsikt.

alltså är sinx det jag skrev över?

Dr. G 9618
Postad: 31 maj 2017 23:19

ja, det du har skrivit är maclaurinutvecklingen för sin(x)

Svara
Close