maclurin serie
Hur ska man lösa detta utan att derivera flera gångar? Tänkte att man kunde multiplicera antigen en viss början av serien eller hela summorna men vet inte hur jag ska gå tillväga.
Ska du visa bara några termer, eller en summaformel?
summaformel
Om man deriverar ett antal gånger ser man kanske ett mönster. Det kan bara bli f(n)(x) = ex(Ancos(x) + Bnsin(x)) för varje derivata. De där A och B kanske går lätt att uttrycka i n.
Här en variant som utnyttjar komplexa tal. Utnyttja att f(x) = Re(exeix) = Re(e(1+i)x). Bonne Chance.
Visa spoiler
PATENTERAMERA skrev:Här en variant som utnyttjar komplexa tal. Utnyttja att f(x) = Re(exeix) = Re(e(1+i)x). Bonne Chance.
Visa spoiler
kan man göra det utan komplexa tal?
Det går säkert. Men kommer inte på något som blir enkelt.
theswagmaster skrev:PATENTERAMERA skrev:Här en variant som utnyttjar komplexa tal. Utnyttja att f(x) = Re(exeix) = Re(e(1+i)x). Bonne Chance.
Visa spoiler
kan man göra det utan komplexa tal?
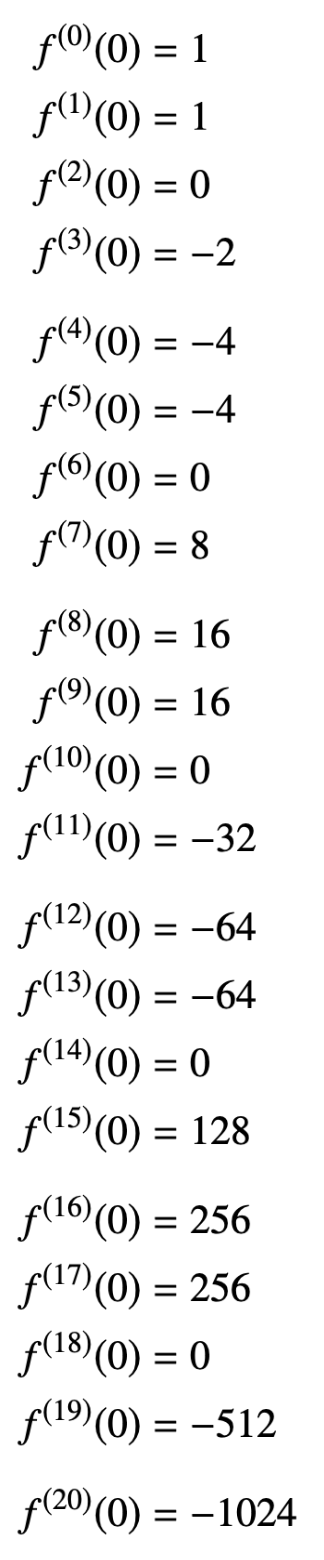
Det går, men det är tråkiga räkningar;

För x=0 får man sedan

och så får man lista ut att cos(π/4 k) är bra att ha som faktor då vart 4:e tal är 0. Sedan en potens av sqrt2 etc.