1
svar
93
visningar
ATsmartis behöver inte mer hjälp
MaFy 2008 - Trigonometri
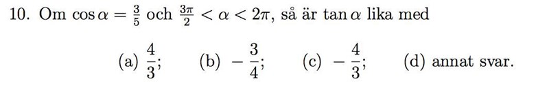
MaFy 2008 uppgift 10, har lite svårt att förstå hur jag ska handskas med denna uppgift.

Jag tänkte använda mig av: , och så vet jag att det rör sig om 4:e kvadranten. Men eftersom sin(v) är okänt så blir problemet klurigare. Ska jag testa mig fram genom att ta svarsalternativen och stoppa in dem i tan(v) för att få fram sin(v), eftersom jag vet att sin(v) ska bli negativt. Men sen kommer jag inte längre. Finns det kanske några enklare och mer korrekta lösningar?
Ledtråd: trigettan.
Vad är sin(v)?