Mafy 2008 uppgift 18 - Elektroners hastighet i ett bildrör
Hej!
I denna uppgift har jag inget problem att lösa uppgiften och få rätt svar men problemet är att jag behöver använda miniräknare, vilket inte är tillåtet under provet. Frågan är alltså om det finns ett snabbare/enklare sätt att lösa denna uppgift utan miniräknare och under ca 8 min. Jag har tagit bilder för att visa mitt tillvägagångssätt men miniräknare och sedan också hur jag försöker få fram svaret utan.
Uppgift:

Konstanter givna i provet:

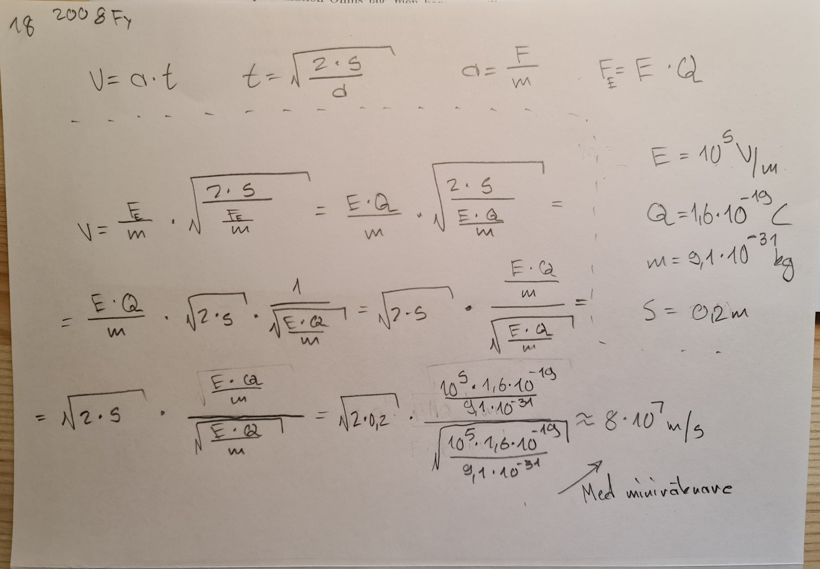
Lösning, med svar uträknat med miniräknare:

Lösning med svar uträknat utan miniräknare:

Svaret vet jag ska bli(enligt facit) 8*10^7 m/s men jag har svårt att se hur man kan komma fram till en ett svar utan miniräknare. Men som sagt om ni kan ett knep så dela gärna med er. Tack i förhand!
rörelseenergi = tillförd energi ger
vilket efter förenkling blir
att 4*1,6 blir 6,4 tar man i huvuet samtidigt hyfsar vi tiopotenserna och får
6,4 delat med 9,11 blir cirka 2/3 vilket är cirka 0,67
och får
v2 = 67*1014
vilket ger oss att v är cirka 8*107 (8*8 = 64)
Smart tänkt att räkna med energin! Man kan ju se problemet som ett gravitationsproblem fast med elektrisk fältstyrka. Tack för hjälpen.
Vats skrev:Svaret vet jag ska bli(enligt facit) 8*10^7 m/s men jag har svårt att se hur man kan komma fram till en ett svar utan miniräknare. Men som sagt om ni kan ett knep så dela gärna med er. Tack i förhand!
Ja, kinetiska energin är alltså 20 keV.
Sedan är det lite jobbigt, hur många värdesiffror behövs? Om man råkar veta att en elektron med energi 13,6 eV har en hastighet c/137 blir det lite lättare.