Mafy 2008 uppgift 23
Hej!
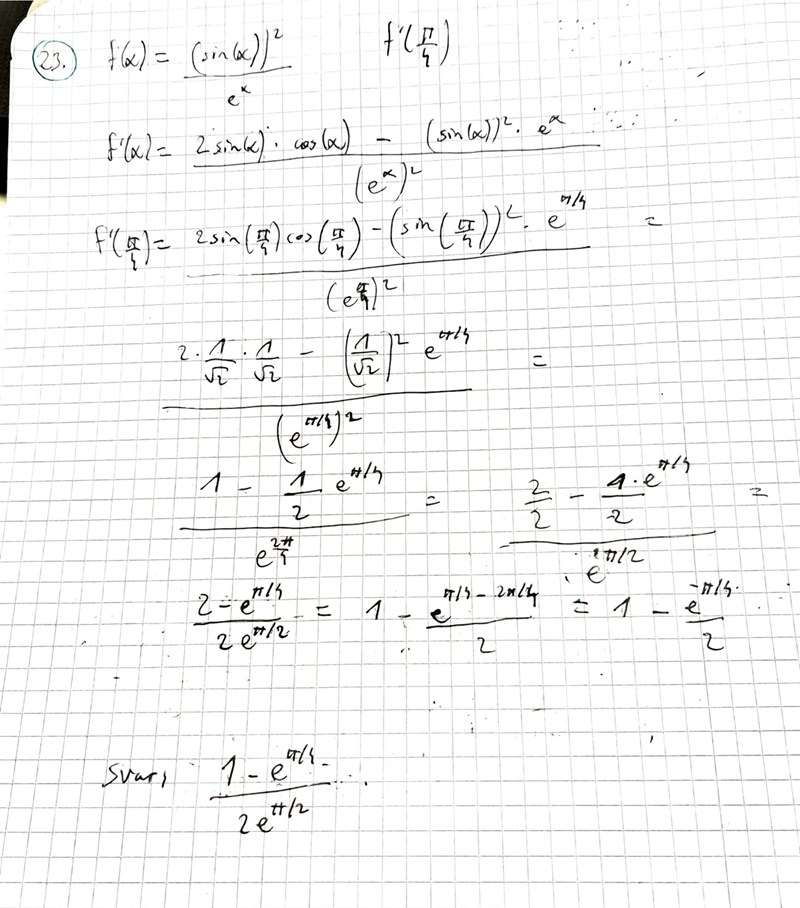
Jag förstår ej varför mitt svar är felaktig här. -1.jpg?width=800&upscale=false)
Du har gjort fel på första steget i din derivata.
Första termen i täljaren ska vara 2sin(x)cos(x)*ex
Kolla kvotregeln!
Om du har svårt att komma ihåg kvotregeln kan man, som jag brukar göra, skriva om kvoten som en produkt, i det här fallet blir det
sin2(x)/ex = sin2(x)*e-x
och sen derivera med hjälp av produktregeln (som man förhoppningsvis har koll på)
Ture skrev:Du har gjort fel på första steget i din derivata.
Första termen i täljaren ska vara 2sin(x)cos(x)*ex
Kolla kvotregeln!
Om du har svårt att komma ihåg kvotregeln kan man, som jag brukar göra, skriva om kvoten som en produkt, i det här fallet blir det
sin2(x)/ex = sin2(x)*e-x
och sen derivera med hjälp av produktregeln (som man förhoppningsvis har koll på)
Ja juste. Jag brukar ej ha problem med att minnas kvotregeln , tror bara att jag råkade glömma e^x för vi hade sin^2(x). Så fokuserade mer på den för det är kedjeregeln samtidigt. Ja precis man kan använda produktregeln också