7 svar
175 visningar
destiny99 behöver inte mer hjälp
destiny99 11427
Postad: 21 mar 2024 13:30

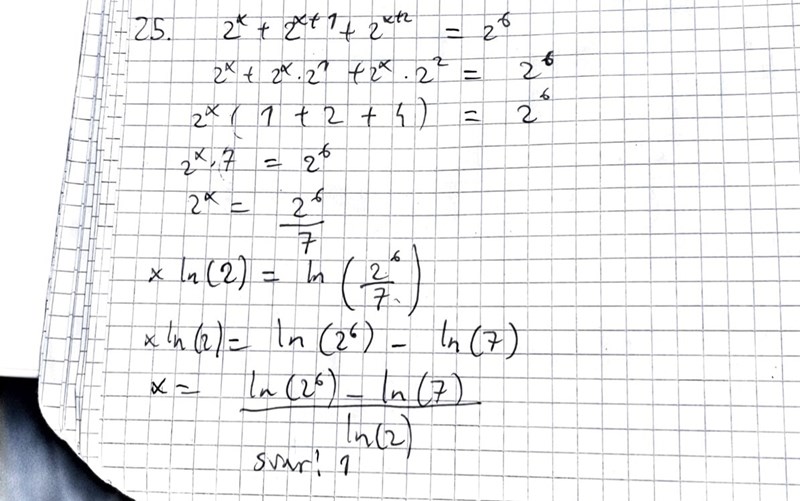
MaFy 2008 uppgift 25

Facit säger 0. Varför är ej mitt svar rätt?

Lapland 42
Postad: 21 mar 2024 13:34

Ditt svar verkar rätt, och 0 är definitivt inte rätt. Är du säker på att du kollar på rätt fråga i facit?

Laguna Online 32140
Postad: 21 mar 2024 13:38

Är ditt x ett heltal?

destiny99 11427
Postad: 21 mar 2024 14:05
Laguna skrev:

Är ditt x ett heltal?

Nej

Smaragdalena 78892 – Avstängd
Postad: 21 mar 2024 14:10

Är då ditt x en heltalslösning?

destiny99 11427
Postad: 21 mar 2024 16:06
Smaragdalena skrev:

Är då ditt x en heltalslösning?

Nej 

Bedinsis 3344
Postad: 21 mar 2024 16:52

Så hur många heltalslösningar kunde därmed finna?

destiny99 11427
Postad: 21 mar 2024 17:27
Bedinsis skrev:

Så hur många heltalslösningar kunde därmed finna?

0

Svara
Close