5
svar
155
visningar
destiny99 behöver inte mer hjälp
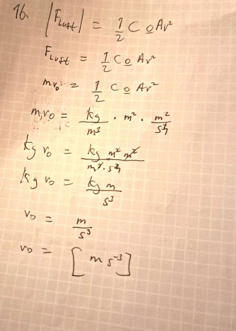
MaFy 2009 uppgift 16
Varför stämmer ej uttrycket för v nedan? Jag använde enhetsanalys för att uttrycka v0.

v ska väl ha enheten m/s?
Laguna skrev:v ska väl ha enheten m/s?
Ja men enligt enhetsanalysen kommer jag ej fram till det så
destiny99 skrev:Laguna skrev:v ska väl ha enheten m/s?
Ja men enligt enhetsanalysen kommer jag ej fram till det så
Då är din enhetsanalys felaktig.
Smaragdalena skrev:destiny99 skrev:Laguna skrev:v ska väl ha enheten m/s?
Ja men enligt enhetsanalysen kommer jag ej fram till det så
Då är din enhetsanalys felaktig.
Men det är v0 vi ska hitta uttryck för. Vad är felet?
Oj jag blandade ihop m/s för hastighet med acceleration..ursäkta! Tror jag missförstått uppgiften. De söker storheter till v0.