2
svar
101
visningar
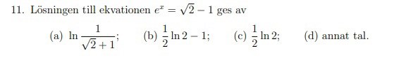
MAFY 2010 fråga 11

Vad gör jag för fel? Rätt svar är A, varifrån kommer det inversa?
Tack
Prova att multiplicera med .
Laguna skrev:Prova att multiplicera med .
Ah,
Tack. Det gäller att inte vara för snabb att svara D i såna här uppgifter