MaFy 2010 uppgift 11


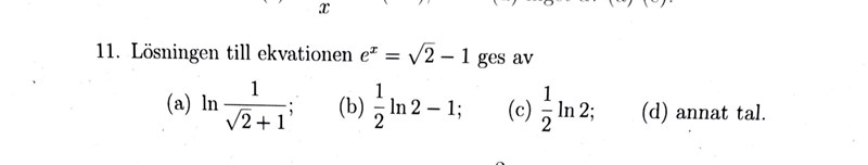
Varför är a) rätt? Jag testade att likställa alla alternativen med lösningen på x. Jag förstår dock inte varför a) stämmer om man enbart förlänger sqrt(2)-1 med dess konjugat och sen hittar lösningen för x eftersom man förlänger väl med dess konjugat om uttrycket skulle ha något rottecken i nämnaren? Jag tycker ej det är något fel med att svara med ln(sqrt(2)-1) . Men det känns som att facit resonerar på annat sätt .
destiny99 skrev:
Varför är a) rätt? Jag testade att likställa alla alternativen med lösningen på x. Jag förstår dock inte varför a) stämmer om man enbart förlänger sqrt(2)-1 med dess konjugat och sen hittar lösningen för x eftersom man förlänger väl med dess konjugat om uttrycket skulle ha något rottecken i nämnaren? Jag tycker ej det är något fel med att svara med ln(sqrt(2)-1) . Men det känns som att facit resonerar på annat sätt .
Problemet är att ln(sqrt(2)-1) inte fonns med bland alternativen. För att kunna se vilket av de tänkbara alternativen som är rätt behöver man göra en omskrivning - annars är ju risken att man svarar d.
Smaragdalena skrev:destiny99 skrev:
Varför är a) rätt? Jag testade att likställa alla alternativen med lösningen på x. Jag förstår dock inte varför a) stämmer om man enbart förlänger sqrt(2)-1 med dess konjugat och sen hittar lösningen för x eftersom man förlänger väl med dess konjugat om uttrycket skulle ha något rottecken i nämnaren? Jag tycker ej det är något fel med att svara med ln(sqrt(2)-1) . Men det känns som att facit resonerar på annat sätt .
Problemet är att ln(sqrt(2)-1) inte fonns med bland alternativen. För att kunna se vilket av de tänkbara alternativen som är rätt behöver man göra en omskrivning - annars är ju risken att man svarar d.
Ja jag svarade på d för att omskrivning av alternativen matchade ej mitt svar. Jag förstår ej varför man ska skriva om ln(sqrt(2)-1) eftersom det är ej så att vi har fått ln(1/sqrt(2)-1). Jag har en vana att bli av med rotuttrycket om den är i nämnaren men ej täljaren som sqrt(2)-1.
Tillägg: 1 apr 2024 13:14
Jag kanske borde ha testat att förlänga med nämnarens konjugat i a) ln(1/(sqrt(2)+1)) nu när jag tänker efter för då kommer det likna min lösning.
destiny99 skrev:
Tillägg: 1 apr 2024 13:14
Jag kanske borde ha testat att förlänga med nämnarens konjugat i a) ln(1/(sqrt(2)+1)) nu när jag tänker efter för då kommer det likna min löslösning.
Bra!
En kommentar är att du har tolkat b-alternativet fel. Eftersom uttrycket saknar parenteser så måste det betyda .
Yngve skrev:destiny99 skrev:
Tillägg: 1 apr 2024 13:14
Jag kanske borde ha testat att förlänga med nämnarens konjugat i a) ln(1/(sqrt(2)+1)) nu när jag tänker efter för då kommer det likna min löslösning.
Bra!
En kommentar är att du har tolkat b-alternativet fel. Eftersom uttrycket saknar parenteser så måste det betyda .
Ja juste sorry du har rätt. Då är det bara (ln(2)-1)/2 och ej ln(sqrt(2-1)) för jag tänkte att vi har 1/2*ln(2-1) även om de ej skrev ut parentes.