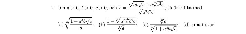
MAFY 2012 fråga 2

Hej! Skulle behöva hjälp med denna. Jag har skrivit om a, b och c till potensform, men vet inte har jag ska göra för att förenkla x till ett av alternativen nedan. Rätt svar är B.
hanna_panna skrev:
Hej! Skulle behöva hjälp med denna. Jag har skrivit om a, b och c till potensform, men vet inte har jag ska göra för att förenkla x till ett av alternativen nedan. Rätt svar är B.
Tänk så här:
Du borde kunna komma vidare därifrån.
Nej, det är (bl a) inuti roten, och då blir det värre...
Sorry, förstår fortfarande inte hur jag ska lösa den.
I den här uppgiften kan det vara lämpligt att försöka eliminera några alternativ genom att testa med några siffror
a=b=c=1 utesluter alternativ c
a=c=1 och b = 2 utesluter alternativ a men är ok för alternativ b, då kan vi antingen chansa på alternativ b om vi har ont om tid, annars kan vi utveckla bråket och se om alternativ b gäller generellt
Skriv om alla rottecken som exponenter så blir det enklare
Nu kan det vara läge att dela upp det i två bråk
Sen använder vi vanliga potenslagar för att förenkla de två bråken till att börja med så här:
kan du fortsätta själv härifrån? Tänk på att utveckla så det liknar alternativ b dvs ha a1/6 i nämnaren.
Om du behöver mer hjälp så visa hur långt du kommit och hur du gjort för att komma dit.