1
svar
136
visningar
Ludzz behöver inte mer hjälp
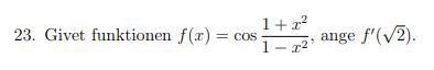
MAFY 2012 fråga 23

hur ska jag derivera den inre derivatan i detta fall?? ( 1+ x^2/ 1-x^2)
Kvotregeln och kedjeregeln.