MaFy 2012 uppgift 1

Hej! Har problem med denna uppgiften.
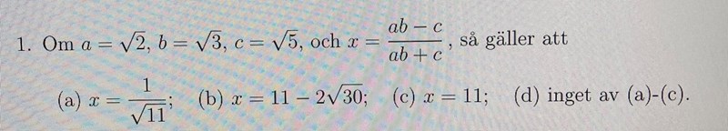
Om a = , b = , c = så borde väl x bli:
Jag har svårt att se hur man skulle kunna förenkla uttrycket i HL mer än såhär. Tydligen ska alternativ b) vara rätt men förstår inte hur jag ska kunna se snabbt på ett prov att är lika med ekvationen ovan.
MsViola skrev:
Hej! Har problem med denna uppgiften.
Om a = , b = , c = så borde väl x bli:
Jag har svårt att se hur man skulle kunna förenkla uttrycket i HL mer än såhär. Tydligen ska alternativ b) vara rätt men förstår inte hur jag ska kunna se snabbt på ett prov att är lika med ekvationen ovan.
Standardknepet för att bli av med rötter i nämnaren är att förlänga med nämnarens konjugat. Funkar detta i det här fallet?
Ja! Jag löste det. Tack!