Mafy 2012 uppgift 14
Hej!
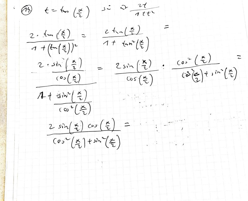
Det stod still i huvudet på mig när jag fick fram detta. Sen är jag osäker på om nämnaren är trigettan 
-1.jpg?width=800&upscale=false)
destiny99 skrev:Hej!
Det stod still i huvudet på mig när jag fick fram detta. Sen är jag osäker på om nämnaren är trigettan
Du har gjort rätt. I sista steget har du formeln för dubbla vinkeln för sin(x) , dvs sin(2v)=2cos(v)sin(v), i täljaren och trigettan i nämnaren, vilket ger sin(x)/1 = sin(x) alltså svar b
mrpotatohead skrev:destiny99 skrev:Hej!
Det stod still i huvudet på mig när jag fick fram detta. Sen är jag osäker på om nämnaren är trigettan
Du har gjort rätt. I sista steget har du formeln för dubbla vinkeln för sin(x) , dvs sin(2v)=2cos(v)sin(v), i täljaren och trigettan i nämnaren, vilket ger sin(x)/1 = sin(x) alltså svar b
Okej,men hur kan täljaren bli sinus för dubbla vinkeln ? Notera att vi har x/2 som vinkel. Och sinus för dubbla vinkeln är ju sin(2v)=2sin(v)cos(v)
och v =
Ture skrev:och v =
Aa okej så man kan ersätta med v med v/2 och får det att likna dubbla vinkeln för sinus?
destiny99 skrev:Ture skrev:och v =
Aa okej så man kan ersätta med v med v/2 och får det att likna dubbla vinkeln för sinus?
Bättre om du ersätter v med x/2 ;)
mrpotatohead skrev:destiny99 skrev:Ture skrev:och v =
Aa okej så man kan ersätta med v med v/2 och får det att likna dubbla vinkeln för sinus?
Bättre om du ersätter v med x/2 ;)
ja, jag införde oavsiktligt ett alfa, bortse från det
mrpotatohead skrev:destiny99 skrev:Ture skrev:och v =
Aa okej så man kan ersätta med v med v/2 och får det att likna dubbla vinkeln för sinus?
Bättre om du ersätter v med x/2 ;)
Mitt svar är sin2v och jag hittar ej bland mina alternativ varför d) bör vara rätt?
mrpotatohead skrev:destiny99 skrev:Hej!
Det stod still i huvudet på mig när jag fick fram detta. Sen är jag osäker på om nämnaren är trigettan
Du har gjort rätt. I sista steget har du formeln för dubbla vinkeln för sin(x) , dvs sin(2v)=2cos(v)sin(v), i täljaren och trigettan i nämnaren, vilket ger sin(x)/1 = sin(x) alltså svar b
Dubbla vinkeln är sin2x och ej sinx.
destiny99 skrev:mrpotatohead skrev:destiny99 skrev:Hej!
Det stod still i huvudet på mig när jag fick fram detta. Sen är jag osäker på om nämnaren är trigettan
Du har gjort rätt. I sista steget har du formeln för dubbla vinkeln för sin(x) , dvs sin(2v)=2cos(v)sin(v), i täljaren och trigettan i nämnaren, vilket ger sin(x)/1 = sin(x) alltså svar b
Dubbla vinkeln är sin2x och ej sinx.
Variablerna kan vara vad som helst. Det som formeln säger är att 2 * cos(en vinkel) * sin(en vinkel) är detsamma som sin(dubbla vinkeln)
Att vi tipsade om att byta ut v mot x/2 var för att enklare se att formeln funkar. X är ju 2 * x/2, därför stämmer formeln
mrpotatohead skrev:destiny99 skrev:mrpotatohead skrev:destiny99 skrev:Hej!
Det stod still i huvudet på mig när jag fick fram detta. Sen är jag osäker på om nämnaren är trigettan
Du har gjort rätt. I sista steget har du formeln för dubbla vinkeln för sin(x) , dvs sin(2v)=2cos(v)sin(v), i täljaren och trigettan i nämnaren, vilket ger sin(x)/1 = sin(x) alltså svar b
Dubbla vinkeln är sin2x och ej sinx.
Variablerna kan vara vad som helst. Det som formeln säger är att 2 * cos(en vinkel) * sin(en vinkel) är detsamma som sin(dubbla vinkeln)
Att vi tipsade om att byta ut v mot x/2 var för att enklare se att formeln funkar. X är ju 2 * x/2, därför stämmer formeln
När jag byter ut får jag inget annat än sin(2v) och därför ser jag ej hur sinx kan vara rätt svar. :) men när jag substituerar tillbaka v med v/2 så får jag b alternativet. Jag satte v=v/2 förut och då stämmer det som du säger.
destiny99 skrev:mrpotatohead skrev:destiny99 skrev:mrpotatohead skrev:destiny99 skrev:Hej!
Det stod still i huvudet på mig när jag fick fram detta. Sen är jag osäker på om nämnaren är trigettan
Du har gjort rätt. I sista steget har du formeln för dubbla vinkeln för sin(x) , dvs sin(2v)=2cos(v)sin(v), i täljaren och trigettan i nämnaren, vilket ger sin(x)/1 = sin(x) alltså svar b
Dubbla vinkeln är sin2x och ej sinx.
Variablerna kan vara vad som helst. Det som formeln säger är att 2 * cos(en vinkel) * sin(en vinkel) är detsamma som sin(dubbla vinkeln)
Att vi tipsade om att byta ut v mot x/2 var för att enklare se att formeln funkar. X är ju 2 * x/2, därför stämmer formeln
När jag byter ut får jag inget annat än sin(2v) och därför ser jag ej hur sinx kan vara rätt svar. :) men när jag substituerar tillbaka v med v/2 så får jag b alternativet. Jag satte v=v/2 förut och då stämmer det som du säger.
Men du satte ju v=x/2 så sin(2v) är ju sin(2* x/2)= sin(x) 😅
mrpotatohead skrev:destiny99 skrev:mrpotatohead skrev:destiny99 skrev:mrpotatohead skrev:destiny99 skrev:Hej!
Det stod still i huvudet på mig när jag fick fram detta. Sen är jag osäker på om nämnaren är trigettan
Du har gjort rätt. I sista steget har du formeln för dubbla vinkeln för sin(x) , dvs sin(2v)=2cos(v)sin(v), i täljaren och trigettan i nämnaren, vilket ger sin(x)/1 = sin(x) alltså svar b
Dubbla vinkeln är sin2x och ej sinx.
Variablerna kan vara vad som helst. Det som formeln säger är att 2 * cos(en vinkel) * sin(en vinkel) är detsamma som sin(dubbla vinkeln)
Att vi tipsade om att byta ut v mot x/2 var för att enklare se att formeln funkar. X är ju 2 * x/2, därför stämmer formeln
När jag byter ut får jag inget annat än sin(2v) och därför ser jag ej hur sinx kan vara rätt svar. :) men när jag substituerar tillbaka v med v/2 så får jag b alternativet. Jag satte v=v/2 förut och då stämmer det som du säger.
Men du satte ju v=x/2 så sin(2v) är ju sin(2* x/2)= sin(x) 😅
Ja precis jag vet ej hur man förklarar det här. Jag satte så men fick ändå som facit till slut.
destiny99 skrev:mrpotatohead skrev:destiny99 skrev:mrpotatohead skrev:destiny99 skrev:mrpotatohead skrev:destiny99 skrev:Hej!
Det stod still i huvudet på mig när jag fick fram detta. Sen är jag osäker på om nämnaren är trigettan
Du har gjort rätt. I sista steget har du formeln för dubbla vinkeln för sin(x) , dvs sin(2v)=2cos(v)sin(v), i täljaren och trigettan i nämnaren, vilket ger sin(x)/1 = sin(x) alltså svar b
Dubbla vinkeln är sin2x och ej sinx.
Variablerna kan vara vad som helst. Det som formeln säger är att 2 * cos(en vinkel) * sin(en vinkel) är detsamma som sin(dubbla vinkeln)
Att vi tipsade om att byta ut v mot x/2 var för att enklare se att formeln funkar. X är ju 2 * x/2, därför stämmer formeln
När jag byter ut får jag inget annat än sin(2v) och därför ser jag ej hur sinx kan vara rätt svar. :) men när jag substituerar tillbaka v med v/2 så får jag b alternativet. Jag satte v=v/2 förut och då stämmer det som du säger.
Men du satte ju v=x/2 så sin(2v) är ju sin(2* x/2)= sin(x) 😅
Ja precis jag vet ej hur man förklarar det här. Jag satte så men fick ändå som facit till slut.
Jag förstår inte vad du menar. Bytet räcker ju att du gör i sista steget av din redan mycket väl genomförda uträkning.
mrpotatohead skrev:destiny99 skrev:mrpotatohead skrev:destiny99 skrev:mrpotatohead skrev:destiny99 skrev:mrpotatohead skrev:destiny99 skrev:Hej!
Det stod still i huvudet på mig när jag fick fram detta. Sen är jag osäker på om nämnaren är trigettan
Du har gjort rätt. I sista steget har du formeln för dubbla vinkeln för sin(x) , dvs sin(2v)=2cos(v)sin(v), i täljaren och trigettan i nämnaren, vilket ger sin(x)/1 = sin(x) alltså svar b
Dubbla vinkeln är sin2x och ej sinx.
Variablerna kan vara vad som helst. Det som formeln säger är att 2 * cos(en vinkel) * sin(en vinkel) är detsamma som sin(dubbla vinkeln)
Att vi tipsade om att byta ut v mot x/2 var för att enklare se att formeln funkar. X är ju 2 * x/2, därför stämmer formeln
När jag byter ut får jag inget annat än sin(2v) och därför ser jag ej hur sinx kan vara rätt svar. :) men när jag substituerar tillbaka v med v/2 så får jag b alternativet. Jag satte v=v/2 förut och då stämmer det som du säger.
Men du satte ju v=x/2 så sin(2v) är ju sin(2* x/2)= sin(x) 😅
Ja precis jag vet ej hur man förklarar det här. Jag satte så men fick ändå som facit till slut.
Jag förstår inte vad du menar. Bytet räcker ju att du gör i sista steget av din redan mycket väl genomförda uträkning.
Jag gjorde bytet en gång ja. V=x/2 2sinvcosv/cos^2v+sin^2v =2sin^2vcos^2v=sin(2v)=sin(2*x/2)=sinx