3
svar
155
visningar
martinmaskin2 behöver inte mer hjälp
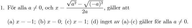
MAFY 2013 Uppgift 1

Jag fick det till (c)
Jag förstår inte hur svaret är (b) x=0 eftersom a inte får vara 0, kan någon förklara ? Eller har de bara gjort ett misstag i facit?
Ja, får inte vara noll. Stoppa nu in vilket värde på som helst i ekvationen för , vad får du då?
Edit: Eller så kan du vara förenkla ekavtionen för , då ser du direkt varför det blir (b).
Tillägg: 1 dec 2021 22:00
Och motivera gärna hur du fick det till (c) :)
Jag insåg att jag inte ändrade minustecknet :(
Tackar för hjälpen! :)
Är du med på att
för alla a?
Tillägg: 1 dec 2021 22:08
Ja, det var du.
Om man ska vara petig (vilket man ska ibland) så är